logo

Crowdly

Browser

Add to Chrome

Пробне НМТ-2025

Looking for Пробне НМТ-2025 test answers and solutions? Browse our comprehensive collection of verified answers for Пробне НМТ-2025 at online.hneu.edu.ua.

Get instant access to accurate answers and detailed explanations for your course questions. Our community-driven platform helps students succeed!

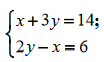
Розв’яжіть систему рівнянь і знайдіть добуток компонентів розв’язку.

0%
0%
0%
100%
0%
View this question

Гострий кут ромба дорівнює 35º . Знайдіть його тупий кут.

0%
0%
0%
0%
0%
View this question

На рисунку зображено коло, діаметр якого належить осі абсцис. Укажіть рівняння, яким задано це коло.

0%
0%
0%
0%
0%
View this question
Розв’яжіть нерівність

100%
0%
0%
0%
0%
View this question

Обчисліть відношення меншого кореня квадратного

рівняння x2 + 5x - 6 = 0 до його більшого кореня

0%
0%
0%
0%
0%
View this question

Спростіть вираз cosα·tgα - sinα

0%
0%
0%
0%
0%
View this question

Обчисліть 

0%
0%
0%
100%
0%
View this question

Спростіть вираз x2 - (x - 1)(x + 3)

 

0%
0%
0%
100%
0%
View this question

Обчисліть

0%
0%
0%
0%
0%
View this question

Прямі m і n паралельні. Знайдіть градусну міру кута X, зображеного на рисунку.

0%
0%
0%
100%
0%
View this question

Want instant access to all verified answers on online.hneu.edu.ua?

Get Unlimited Answers To Exam Questions - Install Crowdly Extension Now!

Browser

Add to Chrome