logo

Crowdly

Browser

Add to Chrome

QUIMICA ORGANICA I

Looking for QUIMICA ORGANICA I test answers and solutions? Browse our comprehensive collection of verified answers for QUIMICA ORGANICA I at online.upr.edu.

Get instant access to accurate answers and detailed explanations for your course questions. Our community-driven platform helps students succeed!

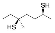
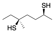
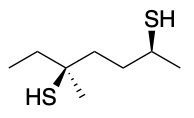
Escoja dos estructuras los siguientes isómeros, los que serán incapaz participar como electrófilos en una reacción SN2.

0%
0%
0%
0%
0%
View this question

Escoja el producto principal orgánico de la siguiente reacción:

0%
0%
0%
0%
View this question

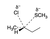
Entre los mecanismo 1 al 4 escoja el mecanismo correcto para la siguiente reacción SN2.

0%
0%
0%
0%
0%
View this question

Escoja todos los disolventes que hacen que las reacciones SN2 sean más lentas.

0%
0%
View this question

El

compuesto 2

-bromo-2,6-dimetilheptano

se clasifica como un

halogenuro

0%
0%
0%
0%
View this question

Escoja el producto principal orgánico de la siguiente reacción:

View this question

Escoja dos de los siguientes isómeros, los que sí son capaz de participar como electrófilos en una reacción SN2.

View this question

Escoja el estado de transición de la siguiente reacción:

View this question

Entre los mecanismo 1 al 4 escoja el mecanismo correcto para la siguiente reacción SN2.

0%
0%
0%
0%
0%
View this question

Escoja el producto principal orgánico de la siguiente reacción:

0%
0%
0%
0%
View this question

Want instant access to all verified answers on online.upr.edu?

Get Unlimited Answers To Exam Questions - Install Crowdly Extension Now!

Browser

Add to Chrome