logo

Crowdly

Browser

Add to Chrome

QUIMICA ORGANICA I

Looking for QUIMICA ORGANICA I test answers and solutions? Browse our comprehensive collection of verified answers for QUIMICA ORGANICA I at online.upr.edu.

Get instant access to accurate answers and detailed explanations for your course questions. Our community-driven platform helps students succeed!

El

compuesto

4-bromo-2,6-dimetilheptano

se clasifica como un

halogenuro

View this question

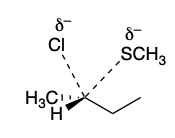
Escoja el estado de transición de la siguiente reacción:

0%
0%
100%
0%
View this question

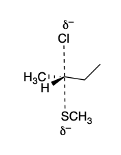
Escoja todas los siguientes isómeros, los que sí son capaz de participar como electrófilos en una reacción SN2.

0%
0%
0%
0%
View this question

Escoja el producto principal orgánico de la siguiente reacción:

0%
0%
0%
0%
View this question

Entre los mecanismo 1 al 4 escoja el mecanismo correcto para la siguiente reacción SN2.

0%
0%
0%
0%
View this question

Escoja todos los disolventes que hacen que las reacciones SN2 sean más rápidas.

0%
100%
0%
View this question

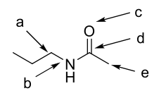
¿Qué flecha identifica el sitio electrofílico

en la

molécula mostrada?

0%
0%
0%
0%
0%
View this question

U

tilizando

la

Tabla 6.1, calcule y escoja el cambio de entalpía (ΔH en kJ/mol) de la siguiente reacción en condiciones estándar.

0%
0%
0%
0%
0%
View this question

Prediga el signo del ∆S para la siguiente reacción y si favorece la formación de productos o no:

0%
100%
0%
0%
0%
View this question

Identifique el patrón de empuje de flecha curvas que está involucrado en el paso

de reacción mostrado.

0%
0%
0%
0%
0%
View this question

Want instant access to all verified answers on online.upr.edu?

Get Unlimited Answers To Exam Questions - Install Crowdly Extension Now!

Browser

Add to Chrome