logo

Crowdly

Browser

Add to Chrome

QUIMICA ORGANICA I

Looking for QUIMICA ORGANICA I test answers and solutions? Browse our comprehensive collection of verified answers for QUIMICA ORGANICA I at online.upr.edu.

Get instant access to accurate answers and detailed explanations for your course questions. Our community-driven platform helps students succeed!

Escoja la fórmula esqueletal (estructuras de líneas) que es la es equivalente a la siguiente estructura de Lewis.

0%
0%
0%
0%
View this question

¿Cuál es la fórmula esqueletal (estructura de línea) correcta para la siguiente estructura de Lewis?

0%
0%
0%
0%
View this question

¿Cuál de las siguientes estructuras tiene el número de hidrógenos correctos dibujados en los carbonos correctamente?

0%
0%
0%
0%
View this question

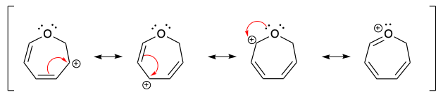
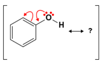
Escoja el contribuyente que se genera del siguiente movimiento de resonancia:

0%
0%
0%
0%
View this question

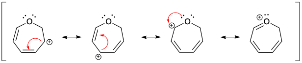
Escoja la deslocalización de electrones correcta.

0%
0%
0%
0%
View this question

Determine si los pares solitarios estarán localizados o deslocalizados.

Si están localizados también debe indicar en qué orbital están localizados.

View this question

Determine el ángulo de enlace que debe haber entre los átomos enumerados:

View this question

Identifique el número estérico (NE), hibridación y geometría electrónica (GE), para los siguientes átomos 1 al 4.

View this question

La siguiente estructura de Lewis se presenta sin cargas formales y sin pares solitarios:

Escoja la molécula que tiene todas las cargas formales y pares solitarios correctos.

0%
0%
0%
0%
View this question

Identifique cada enlace enumerado en la siguiente molécula utilizando utilizando la leyenda provista para los diferentes tipos de enlaces sigma y pi:

View this question

Want instant access to all verified answers on online.upr.edu?

Get Unlimited Answers To Exam Questions - Install Crowdly Extension Now!

Browser

Add to Chrome