logo

Crowdly

Browser

Add to Chrome

Дослідження операцій в транспортних системах

Looking for Дослідження операцій в транспортних системах test answers and solutions? Browse our comprehensive collection of verified answers for Дослідження операцій в транспортних системах at onmu-moodle.od.ua.

Get instant access to accurate answers and detailed explanations for your course questions. Our community-driven platform helps students succeed!

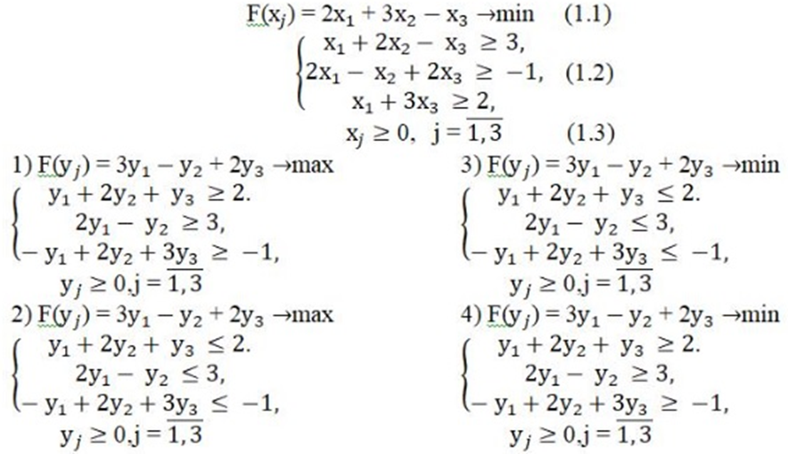
Для задачі лінійного програмування

(1.1)-(1.3) сформулюйте двоїсту задачу:

View this question

Термін

«програмування» в теорії дослідження операцій слід розуміти в значенні:

View this question

У симплекс-таблиці записані дані вихідного завдання

лінійного програмування. Яку змінну доцільно вводити в базис завдання на мінімум?

0%
0%
0%
0%
View this question

Незважаючи

на різноманітність змістовності задач, всі вони мають загальні риси, а саме:

View this question

Для переходу від загальної (стандартної) форми

задачі лінійного програмування к канонічній формі, необхідно:

View this question

За критерієм

визначеності виділяють параметри:

0%
0%
0%
0%
View this question

На якому з етапів

дослідження операцій оперуюча сторона формулює мету операції?

0%
0%
0%
0%
View this question

Чому дорівнюють базисні змінні в опорному плані

задачі лінійного програмування?

0%
0%
0%
View this question

Якщо а=2,3, то дробова частина дорівнює:

View this question

Операційний підхід до

вирішення проблем має деякі особливості. Однією з цих особливостей є:

0%
0%
0%
0%
View this question

Want instant access to all verified answers on onmu-moodle.od.ua?

Get Unlimited Answers To Exam Questions - Install Crowdly Extension Now!

Browser

Add to Chrome