logo

Crowdly

Browser

Add to Chrome

Дослідження операцій в транспортних системах

Looking for Дослідження операцій в транспортних системах test answers and solutions? Browse our comprehensive collection of verified answers for Дослідження операцій в транспортних системах at onmu-moodle.od.ua.

Get instant access to accurate answers and detailed explanations for your course questions. Our community-driven platform helps students succeed!

Для побудови циклу перерахунку у осередку (1; 4) поставили

знак «+». Складіть цикл перерахунку та побудуйте покращений план перевезень

вантажу:

0%
0%
0%
0%
View this question

Економіко-математична модель – це:

View this question

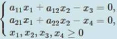
Система обмежень

задачі лінійного програмування має вид:

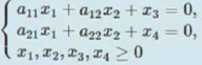
Для отримання опорного

плану приводимо систему обмежень до канонічного виду. Отримаємо наступне:

0%
0%
0%
0%
View this question

Дві небезпеки чатують на дослідника, який створює

модель:

0%
0%
0%
0%
View this question

При побудові двоїстої задачі до задачі лінійного

програмування у стандартній формі будується стільки обмежень, скільки в прямій

задачі:

0%
0%
0%
View this question

В

задачі про розподіл технічних засобів

по ділянках робіт у якості параметру управління

 Хij приймається:

0%
0%
0%
View this question

У симплекс-таблиці записані дані вихідного завдання

лінійного програмування. Яку змінну доцільно вводити в базис завдання на мінімум?

View this question

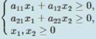
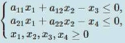
В системі обмежень стандартної форми

задачі лінійного програмування можуть бути:

View this question

В

задачі про розподіл технічних засобів

по ділянках робіт у якості параметру управління

  Хij приймається:

View this question

У симплекс-таблиці записані дані вихідного завдання

лінійного програмування. Яку змінну доцільно вводити в базис завдання на

максимум?

View this question

Want instant access to all verified answers on onmu-moodle.od.ua?

Get Unlimited Answers To Exam Questions - Install Crowdly Extension Now!

Browser

Add to Chrome