logo

Crowdly

Browser

Add to Chrome

Вища та прикладна математика

Looking for Вища та прикладна математика test answers and solutions? Browse our comprehensive collection of verified answers for Вища та прикладна математика at op.tsatu.edu.ua.

Get instant access to accurate answers and detailed explanations for your course questions. Our community-driven platform helps students succeed!

Функція називається первісною для функції на , якщо
View this question
Інтеграл розкладається на
View this question
Інтеграл розкладається на :
View this question
Інтеграл розкладається на :
View this question
Інтеграл розкладається на
View this question

View this question
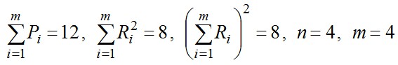
Обчислити факторну суму, якщо 

                

View this question

Знайдіть середню для х , якщо

View this question
Вибіркова середня для згрупованих даних:
View this question

View this question

Want instant access to all verified answers on op.tsatu.edu.ua?

Get Unlimited Answers To Exam Questions - Install Crowdly Extension Now!

Browser

Add to Chrome