logo

Crowdly

Browser

Add to Chrome

Вища та прикладна математика

Looking for Вища та прикладна математика test answers and solutions? Browse our comprehensive collection of verified answers for Вища та прикладна математика at op.tsatu.edu.ua.

Get instant access to accurate answers and detailed explanations for your course questions. Our community-driven platform helps students succeed!

Інтервальний

ряд 

вибірки 1 2 3 3 2 5 6 6 7 1 7 8 9 2 3:

View this question

Якщо коефіцієнт кореляції , то маємо наступне:

View this question
У МНК розв’язують
View this question

Дискретний ряд вибірки 1 2 3 3 2 5 6 6 7 1 7 8 9 2 3:

View this question

View this question
Множинна кореляція – це ...
View this question
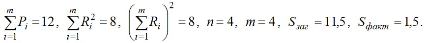
Обчислити залишкову суму, якщо

                

View this question
Якщо коефіцієнт кореляції  , то це означає, що ...
View this question
Рівень значимості – це:
View this question
Дисперсія не згрупована:
View this question

Want instant access to all verified answers on op.tsatu.edu.ua?

Get Unlimited Answers To Exam Questions - Install Crowdly Extension Now!

Browser

Add to Chrome