logo

Crowdly

Browser

Add to Chrome

Вища та прикладна математика

Looking for Вища та прикладна математика test answers and solutions? Browse our comprehensive collection of verified answers for Вища та прикладна математика at op.tsatu.edu.ua.

Get instant access to accurate answers and detailed explanations for your course questions. Our community-driven platform helps students succeed!

Основна гіпотеза критерія Фішера наступна:
0%
0%
0%
View this question
Якщо гіпотеза потрапляє у критичну область, то вона:
View this question

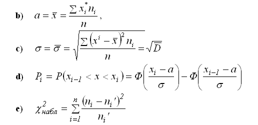
Розрахункове значення критерія

Пірсона обчислюється за формулою:

0%
0%
0%
0%
View this question

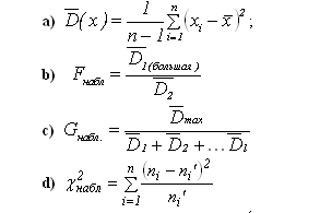
Розрахункове значення критерія Кохрена обчислюється за формулою:

View this question

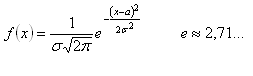
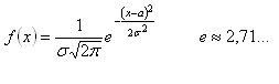
Закон розподілу:

View this question

Гіпотезою

називають

0%
0%
0%
View this question

Перевірка на нормальний закон розподілу по критерію:

View this question

Критерій

- це 

View this question

Помилка I

роду полягає в тому, що

View this question

Закон розподілу:

View this question

Want instant access to all verified answers on op.tsatu.edu.ua?

Get Unlimited Answers To Exam Questions - Install Crowdly Extension Now!

Browser

Add to Chrome