logo

Crowdly

Browser

Add to Chrome

Optimización y simulación [DOI-IMAT-314]

Looking for Optimización y simulación [DOI-IMAT-314] test answers and solutions? Browse our comprehensive collection of verified answers for Optimización y simulación [DOI-IMAT-314] at sifo.comillas.edu.

Get instant access to accurate answers and detailed explanations for your course questions. Our community-driven platform helps students succeed!

Consider the same linear programming problem as in Question 1 (LP1). Now suppose the profit of chairs (c₁) can change. Determine the range of values of c₁ for which the optimal solution does not change (i.e. we will get the same optimal solution in terms of the variables). For your reference, see the problem below.

A workshop produces two products: chairs ( x ) and tables ( y ):

The profit is c1= 5€ per chair and c2= 10€ per table.

Production is limited by the following resources:

•    Labor: x + 4y ≤ 20

•    Wood: 2x + y ≤ 19

0%
0%
0%
0%
View this question

A workshop produces two products: chairs ( x ) and tables ( y ).

The profit is c1= 5€ per chair and c2= 10€ per table.

Production is limited by the following resources:

  • Labor: x + 4y ≤ 20
  • Wood: 2x + y ≤ 19

Determine the optimal production plan and the maximum profit (z).

0%
0%
0%
0%
View this question

Observing the following Integer Problem, where x1, x2, and x3 are integer positive variables, select the correct answer:

0%
0%
0%
0%
View this question

Considering the following minimization linear program, where the reduced costs at the optimal are cx1=16.67, ce2=6.67 and cx2=16.67, select the correct option:

0%
0%
0%
0%
View this question

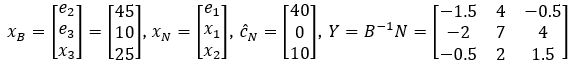
Considering the following basic solution for a minimization linear program, select the correct option:

0%
0%
0%
0%
View this question

Considering the following basic solution for a minimization linear program, select the correct option:

0%
0%
0%
0%
View this question

Focusing

only on the subtree after decision D2, a consultant offers their expertise to

better predict demand. They claim a 40% success rate for predicting high demand

and a 75% success rate for low demand.  How much would you pay for the consultancy

services?

View this question

Considering

only the subtree after D3, the expected value of perfect information is:

View this question

Which

of the following options are correct?

100%
100%
0%
0%
100%
0%
View this question

Given

the following constrained problem:

\text{min} (2x-5)^2 + (2y+1)^2 \text{min} (2x-5)^2 + (2y+1)^2

 x^2 + y^2 \leq 9 x^2 + y^2 \leq 9

 x \geq 0 x \geq 0

 y \geq 0 y \geq 0

100%
0%
0%
0%
View this question

Want instant access to all verified answers on sifo.comillas.edu?

Get Unlimited Answers To Exam Questions - Install Crowdly Extension Now!

Browser

Add to Chrome