logo

Crowdly

Browser

Add to Chrome

Optimización y simulación [DOI-IMAT-314]

Looking for Optimización y simulación [DOI-IMAT-314] test answers and solutions? Browse our comprehensive collection of verified answers for Optimización y simulación [DOI-IMAT-314] at sifo.comillas.edu.

Get instant access to accurate answers and detailed explanations for your course questions. Our community-driven platform helps students succeed!

Given

the following unconstrained problem:

 f(x,y) = -x^2 + 2xy + y^2 + x - y + 9 f(x,y) = -x^2 + 2xy + y^2 + x - y + 9

0%
0%
0%
100%
View this question

Given the following constrained problem:

 \text{max} (x-1)^2 + (y-1)^2 + xy \text{max} (x-1)^2 + (y-1)^2 + xy

 x^2 + y^2 \leq 200 x^2 + y^2 \leq 200

x \geq 0 x \geq 0

y \geq 0y \geq 0

View this question

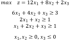
Consider

the following optimization linear program:

Given the following information about a basic

solution of this problem

as a maximization problem, where  e_{1}, e_{2}, e_{3} e_{1}, e_{2}, e_{3}  

are the slack/excess variables of the first,

second and third constraint respectively:

Select the correct answer:

100%
0%
0%
0%
View this question

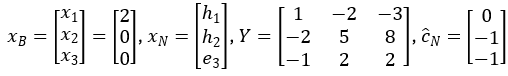
Consider

the following optimization linear program:

Given the following information about a basic

solution of this problem

as a maximization problem, where  h_{1}, h_{2}, e_{3} h_{1}, h_{2}, e_{3}  

are the slack/excess variables of the first,

second and third constraint respectively:

Select the correct answer:

100%
0%
0%
0%
View this question

Consider

the following optimization linear program:

 \text{max} 2x_{1}+x_{2}+4x_{3} \text{max} 2x_{1}+x_{2}+4x_{3}

 5x_{1}+3x_{2}+x_{3} \geq 450 5x_{1}+3x_{2}+x_{3} \geq 450

 7x_{1}+5x_{2}+2x_{3} \geq 350 7x_{1}+5x_{2}+2x_{3} \geq 350

 3x_{1}+2x_{2}+x_{3} \leq 400 3x_{1}+2x_{2}+x_{3} \leq 400

 x_{1},x_{2},x_{3} \geq 0 x_{1},x_{2},x_{3} \geq 0

Given the following information about the

optimal solution of this problem,

as a maximization problem, where  e_{1}, e_{2}, h_{3} e_{1}, e_{2}, h_{3} are the 

slack/excess variables of the first, second and

third constraint respectively:

Select the correct answer:

0%
0%
0%
100%
View this question

Consider

the following MIP problem, where x1 and x2 are positive integer variables, x3

is a positive continuous variable, and z is the objective function value. What

can you infer from a detailed inspection?

100%
0%
0%
0%
View this question

Considering that leftovers can be returned to the bakery, a delivery guy offers to transport some cakes to the fair. How much the mechant would be willing to pay the delivery guy for transporting one cake to the fair?

View this question

The merchant transport capacity for juice and cakes to the fair is constrained by the vehicle size. It can carry up to 60 cakes. However, for every transported liter of juice, the merchant must reduce the number of cakes by one.

Considering

this additional constraint, select the correct answer:

0%
0%
0%
100%
View this question

The bakery does not allow any leftovers to be returned, so the merchant decides that leftovers will not happen. After modifying the formulation accordingly, which will be the optimal number of full cakes sold?

View this question

Select the correct answer, to consider the discount:

0%
0%
0%
0%
View this question

Want instant access to all verified answers on sifo.comillas.edu?

Get Unlimited Answers To Exam Questions - Install Crowdly Extension Now!

Browser

Add to Chrome