Looking for PCG26 - 20 DE NOVIEMBRE -1 PM test answers and solutions? Browse our comprehensive collection of verified answers for PCG26 - 20 DE NOVIEMBRE -1 PM at upanama.pruebasadmision.bextsa.com.
Get instant access to accurate answers and detailed explanations for your course questions. Our community-driven platform helps students succeed!
Encuentre la medida en grados de
¿Qué fase de la mitosis implica la alineación de los cromosomas en el centro de la célula?
¿Qué ciclo biogeoquímico depende directamente de la fotosíntesis?
Los ______ tienen las afinidades electrónicas más negativas.
¿Qué base nitrogenada es exclusiva del ARN?
Que distancia hay que recorrer desde el pie de un edificio de 123.45 m de altura para verlo bajo un angulo de 76°
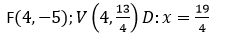
Encuentre el foco, vértice y directriz de la parábola x2-6x+16y-39=0
Las primeras energías de ionización de los elementos __________ a medida que avanza de izquierda a derecha a través de un período de la tabla periódica, y __________ a medida que avanza de abajo a arriba de un grupo en la tabla periódica.
Si la dependencia entre las variables distancia (variable dependiente) y tiempo (variable independiente) es d = (3 m/s , ¿Qué tipo de gráfica representará esta dependencia?