logo

Crowdly

Browser

Add to Chrome

PCG26 - 20 DE NOVIEMBRE -1 PM

Looking for PCG26 - 20 DE NOVIEMBRE -1 PM test answers and solutions? Browse our comprehensive collection of verified answers for PCG26 - 20 DE NOVIEMBRE -1 PM at upanama.pruebasadmision.bextsa.com.

Get instant access to accurate answers and detailed explanations for your course questions. Our community-driven platform helps students succeed!

Un gas a una presión de 325 torr ejerce una fuerza de __________ N en un

área de 5.5 m

2.

0%
0%
0%
0%
0%
View this question

¿Cuál es la función principal de los ribosomas?

0%
0%
0%
0%
100%
View this question

Se preparó una disolución de un no electrolito no volátil desconocido

disolviendo 0.250 g de la sustancia en 40.0 g de CCl

4

. El punto de

ebullición de la disolución resultante fue 0.357 ºC más elevado que el del

disolvente puro. La masa molar del soluto es:

0%
0%
0%
0%
100%
View this question

Símbolo químico del cerio:

0%
0%
100%
0%
0%
View this question

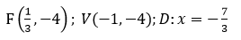
Encuentre el foco, vértice y directriz de la parábola (y + 4)2 = 3(x + 1)

0%
0%
100%
0%
0%
View this question
¿Cuál es la componente x del vector  q

ue tiene una magnitud de 10 unidades y

un ángulo de 30° con el eje x?

0%
0%
0%
0%
0%
View this question

¿Cuál es la forma general de una función potencial?

0%
0%
100%
0%
0%
View this question

¿Qué componente celular es responsable de la digestión intracelular?

0%
0%
0%
100%
0%
View this question

Una escalera se apoya en un muro y tiene su pie a 8m del muro. Si alcanza una ventana que esta a 21m del suelo. Que angulo determina la escalera con el suelo?  

0%
0%
0%
0%
0%
View this question

Una de las siguientes opciones representa un ejemplo de un cambio físico:

0%
0%
0%
0%
100%
View this question

Want instant access to all verified answers on upanama.pruebasadmision.bextsa.com?

Get Unlimited Answers To Exam Questions - Install Crowdly Extension Now!

Browser

Add to Chrome