logo

Crowdly

Browser

Add to Chrome

ЦИВІЛЬНИЙ ЗАХИСТ

Looking for ЦИВІЛЬНИЙ ЗАХИСТ test answers and solutions? Browse our comprehensive collection of verified answers for ЦИВІЛЬНИЙ ЗАХИСТ at virt.ldubgd.edu.ua.

Get instant access to accurate answers and detailed explanations for your course questions. Our community-driven platform helps students succeed!

Що є підінтегральною функцією в інтегралі

0%
100%
0%
0%
View this question

Скласти характеристичне рівняння для лінійного однорідного диференціального рівняння другого порядку 

0%
0%
100%
0%
View this question

Обчислити визначник матриці 

100%
0%
0%
0%
View this question

Числовий ряд – це?

0%
0%
0%
0%
View this question

Знайти розмір матриці 

0%
0%
0%
100%
View this question

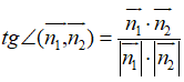
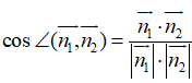
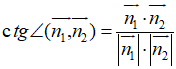
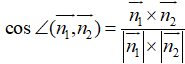
Вказати формулу обчислення кута між площинами зі своїми відповідними нормальними векторами

0%
0%
0%
0%
View this question

Знайти похідну функції ?

0%
0%
0%
0%
View this question

Знайти порядок матриці 

0%
100%
0%
0%
View this question

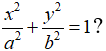
Визначити тип кривої 

0%
0%
0%
0%
View this question

Вказати методи розв’язування систем лінійних алгебраїчних рівнянь?

0%
0%
0%
0%
View this question

Want instant access to all verified answers on virt.ldubgd.edu.ua?

Get Unlimited Answers To Exam Questions - Install Crowdly Extension Now!

Browser

Add to Chrome