logo

Crowdly

Browser

Add to Chrome

ЦИВІЛЬНИЙ ЗАХИСТ

Looking for ЦИВІЛЬНИЙ ЗАХИСТ test answers and solutions? Browse our comprehensive collection of verified answers for ЦИВІЛЬНИЙ ЗАХИСТ at virt.ldubgd.edu.ua.

Get instant access to accurate answers and detailed explanations for your course questions. Our community-driven platform helps students succeed!

Записати характеристичне рівняння для однорідного диференціального рівняння другого порядку 

0%
0%
0%
0%
View this question

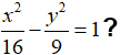
Чому дорівнює уявна піввісь гіперболи 

0%
0%
0%
0%
View this question

Знайти розмір матриці 

0%
0%
100%
0%
View this question

Що є підінтегральною функцією в інтегралі

0%
0%
0%
0%
View this question

Знайти порядок матриці 

0%
0%
0%
0%
View this question

Виконайте додавання комплексних чисел (-2 + 3i) + (1 - 5i)?

0%
0%
0%
0%
View this question

Скласти характеристичне рівняння для лінійного однорідного диференціального рівняння другого порядку 

0%
100%
0%
0%
View this question

Знайти алгебраїчне доповнення А₁₁ для матриці?

0%
0%
0%
100%
View this question

Знайти розмір матриці 

0%
0%
0%
0%
View this question

Який вигляд має загальний розв’язок диференціального рівняння  якщо дискримінант його характеристичного рівняння додатній?

0%
0%
0%
0%
View this question

Want instant access to all verified answers on virt.ldubgd.edu.ua?

Get Unlimited Answers To Exam Questions - Install Crowdly Extension Now!

Browser

Add to Chrome