logo

Crowdly

Browser

Add to Chrome

ЦИВІЛЬНИЙ ЗАХИСТ

Looking for ЦИВІЛЬНИЙ ЗАХИСТ test answers and solutions? Browse our comprehensive collection of verified answers for ЦИВІЛЬНИЙ ЗАХИСТ at virt.ldubgd.edu.ua.

Get instant access to accurate answers and detailed explanations for your course questions. Our community-driven platform helps students succeed!

Як називаються точки, в яких похідна функції дорівнює нулю або не існує? 

0%
0%
0%
0%
View this question

Знайти похідну функції ?

0%
0%
0%
0%
View this question

Рівняння де функція f(x) – функція лише від змінної х,  а g(y) – функція лише від змінної у називається?

0%
100%
0%
0%
View this question

Лінійним диференціальним рівнянням першого порядку називається рівняння виду?

0%
0%
25%
0%
View this question

Знайти похідну функції 

0%
0%
100%
0%
View this question

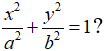
Чому дорівнює велика піввісь еліпса

100%
0%
0%
0%
View this question

Вказати порядок диференціального рівняння

0%
0%
100%
0%
View this question

Як називається площина, на якій зображуються комплексні числа?

0%
0%
80%
20%
View this question

Визначити тип кривої 

100%
0%
0%
0%
View this question

Знайти порядок матриці 

0%
100%
0%
0%
View this question

Want instant access to all verified answers on virt.ldubgd.edu.ua?

Get Unlimited Answers To Exam Questions - Install Crowdly Extension Now!

Browser

Add to Chrome