logo

Crowdly

Browser

Add to Chrome

ЦИВІЛЬНИЙ ЗАХИСТ

Looking for ЦИВІЛЬНИЙ ЗАХИСТ test answers and solutions? Browse our comprehensive collection of verified answers for ЦИВІЛЬНИЙ ЗАХИСТ at virt.ldubgd.edu.ua.

Get instant access to accurate answers and detailed explanations for your course questions. Our community-driven platform helps students succeed!

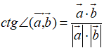
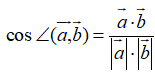
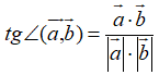
Вказати формулу обчислення кута між векторами

100%
0%
0%
0%
View this question

Яка з наведених формул є формулою інтегрування частинами?

0%
0%
0%
0%
View this question

Яке з цих рівнянь є диференціальним рівнянням першого порядку?

0%
0%
0%
0%
View this question

Як називається операція знаходження похідної?

0%
0%
0%
100%
View this question

Виконайте віднімання комплексних чисел (7 + 8i) - (4 + 6i)?

0%
0%
0%
0%
View this question

Записати характеристичне рівняння для диференціального рівняння другого порядку: 

0%
0%
0%
0%
View this question

Знайти інтеграл

0%
0%
0%
0%
View this question

Який вигляд має загальний розв’язок диференціального рівняння  якщо дискримінант його характеристичного рівняння дорівнює нулю?

0%
0%
0%
0%
View this question

Вказати порядок диференціального рівняння

0%
0%
0%
0%
View this question

Обчислити визначений інтеграл

0%
0%
0%
0%
View this question

Want instant access to all verified answers on virt.ldubgd.edu.ua?

Get Unlimited Answers To Exam Questions - Install Crowdly Extension Now!

Browser

Add to Chrome