logo

Crowdly

Browser

Add to Chrome

ЦИВІЛЬНИЙ ЗАХИСТ

Looking for ЦИВІЛЬНИЙ ЗАХИСТ test answers and solutions? Browse our comprehensive collection of verified answers for ЦИВІЛЬНИЙ ЗАХИСТ at virt.ldubgd.edu.ua.

Get instant access to accurate answers and detailed explanations for your course questions. Our community-driven platform helps students succeed!

Визначити порядок диференціального рівняння 

0%
0%
0%
100%
View this question

Площа якої фігури в системі координат Oxy обчислюється за допомогою визначеного інтеграла

0%
0%
0%
0%
View this question
Умова паралельності двох прямих на площині?

0%
0%
0%
0%
View this question

Виконайте віднімання комплексних чисел (8 + 5i) - (3 + 2i)?

25%
25%
50%
0%
View this question

Знайти розмір матриці 

0%
0%
0%
0%
View this question

Який порядок диференціального рівняння

100%
0%
0%
0%
View this question

Рівняння, що пов’язує похідну функції, саму функцію та змінну х називається?

0%
0%
0%
0%
View this question

Яке з наведених чисел є чисто уявним?

0%
0%
0%
0%
View this question

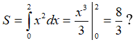
Обчислити визначений інтеграл

0%
0%
0%
0%
View this question

У чому полягає геометричний зміст визначеного інтеграла

0%
0%
0%
0%
View this question

Want instant access to all verified answers on virt.ldubgd.edu.ua?

Get Unlimited Answers To Exam Questions - Install Crowdly Extension Now!

Browser

Add to Chrome