logo

Crowdly

Browser

Add to Chrome

Ідентифікація об'єктів автоматизації [04541]

Looking for Ідентифікація об'єктів автоматизації [04541] test answers and solutions? Browse our comprehensive collection of verified answers for Ідентифікація об'єктів автоматизації [04541] at vns.lpnu.ua.

Get instant access to accurate answers and detailed explanations for your course questions. Our community-driven platform helps students succeed!

Як називається похибка , за якою оцінюють точність математичної моделі?

0%
0%
0%
0%
0%
View this question

За наведеною нормованою імпульсною перехідною функцією об’єкта оцінити параметр комірчастої моделі Т

0%
0%
0%
0%
View this question

За наведеною нормованою імпульсною перехідною функцією об’єкта оцінити параметр комірчастої моделі Т

0%
0%
0%
0%
View this question

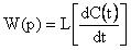
Який зв’язок існує між функцією передачі  та перехідною функцією  лінійного елемента? (L – позначення прямого перетворення Лапласа, L-1 - зворотного)?

View this question

Яким рівнянням описується зв’язок між функцією передачі  технологічного об’єкта з його імпульсною перехідною функцією ?

0%
0%
0%
View this question

Який зв’язок між початковими моментами s-ого порядку  та інерційністю s-ого порядку ?

View this question

Інерційністю якого порядку є площа, обмежена горизонтальною асимптотою та кривою?

View this question

Логарифмічна амплітудно-частотна характеристика якої ланки показана на рисунку?

0%
0%
0%
0%
View this question

Як називається характеристика об’єкта, що встановлює взаємозв’язок його вихідного сигналу з вхідним синусоїдальним сигналом в усталеному режимі і визначається за формулою

View this question

Яким рівнянням описується зв’язок між кореляційними функціями випадкових процесів і  на вході і виході технологічного об’єкта з його амплітудно-частотною характеристикою

Image failed to load
?

0%
0%
0%
100%
0%
View this question

Want instant access to all verified answers on vns.lpnu.ua?

Get Unlimited Answers To Exam Questions - Install Crowdly Extension Now!

Browser

Add to Chrome