logo

Crowdly

Browser

Add to Chrome

Ідентифікація об'єктів автоматизації [04541]

Looking for Ідентифікація об'єктів автоматизації [04541] test answers and solutions? Browse our comprehensive collection of verified answers for Ідентифікація об'єктів автоматизації [04541] at vns.lpnu.ua.

Get instant access to accurate answers and detailed explanations for your course questions. Our community-driven platform helps students succeed!

Якою буде частота сигналу на виході лінійного елемента, якщо на його вхід подати синусоїдальний сигнал з круговою частотою?

View this question

Логарифмічна амплітудно-частотна характеристика якої ланки показана на рисунку?

0%
0%
0%
0%
0%
View this question

Логарифмічна амплітудно-частотна характеристика якої ланки показана на рисунку?

0%
0%
0%
0%
0%
View this question

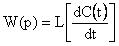
Яким рівнянням описується зв’язок між функцією передачі  технологічного об’єкта з його імпульсною перехідною функцією ?

View this question

Виберіть функцію передачі, що відповідає диференціальному рівнянню :

0%
0%
0%
0%
View this question

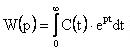
Який зв’язок існує між функцією передачі  та імпульсною перехідною функцією лінійного об’єкта? (L – позначення прямого перетворення Лапласа, L-1 - зворотного)?

0%
0%
0%
0%
0%
View this question

Яким рівнянням описується зв’язок між функцією передачі  технологічного об’єкта з його імпульсною перехідною функцією ?

0%
0%
0%
0%
View this question

Яким рівнянням описується зв’язок між кореляційними функціями випадкових процесів і  на вході і виході технологічного об’єкта з його амплітудно-частотною характеристикою

Image failed to load
?

View this question

Яким рівнянням описується зв’язок між взаємоспектральною густиною  та взаємокореляційною функцією двох випадкових процесів і ?

0%
0%
0%
0%
0%
View this question

Яким рівнянням описується зв’язок між взаємокореляційною функцією випадкових процесів  і  на вході і виході технологічного об’єкта з його імпульсною перехідною функцією ?

0%
0%
0%
0%
0%
View this question

Want instant access to all verified answers on vns.lpnu.ua?

Get Unlimited Answers To Exam Questions - Install Crowdly Extension Now!

Browser

Add to Chrome