logo

Crowdly

Browser

Add to Chrome

Тестування програмного забезпечення

Looking for Тестування програмного забезпечення test answers and solutions? Browse our comprehensive collection of verified answers for Тестування програмного забезпечення at vns.lpnu.ua.

Get instant access to accurate answers and detailed explanations for your course questions. Our community-driven platform helps students succeed!

Деякий модуль програми здійснює побудову трикутника із

заданими довжинами сторін. Однією із компонент цього модуля є процедура, що

тестує коректність введених даних, логічну схему процедури зображено на

рисунку. Який відсоток

покриття усіх завдань (tasks coverage

; включно із вводом

даних, повідомленнями про помилку та переходом до наступної компоненти

) забезпечує виконання тест-кейсів із наступними наборами вхідних даних:

{3, 3, 3} {3, 4, 5} {0, 1, 2}

перевірка чи 3 числа можуть бути сторонами трикутника

View this question

Тестується

процедура зняття готівки сумою у 200 грн в банкоматі.

BPMN

-модель процедури показана на рисунку. Які з наступних

тестів (мінімальне можливе

покриття) слід виконати, щоб досягнути мети:

"виконати усі можливі завдання

(tasks)"

зняття 200 грн схема бізнес-логіки

View this question

Тестується

процедура зняття готівки сумою у 200 грн в банкоматі.

BPMN

-модель процедури показана на рисунку. Які з наступних

тестів (мінімальне можливе

покриття) слід виконати, щоб досягнути мети:

"виконати усі можливі завдання

(tasks)"

зняття 200 грн схема бізнес-логіки

View this question

Тестується

процедура зняття готівки сумою у 200 грн в банкоматі.

BPMN

-модель процедури показана на рисунку. Які з наступних

тестів (мінімальне можливе

покриття) слід виконати, щоб досягнути мети:

"виконати усі можливі завдання

(tasks)"

зняття 200 грн схема бізнес-логіки

View this question

Тестується

процедура зняття готівки сумою у 200 грн в банкоматі.

BPMN

-модель процедури показана на рисунку. Які з наступних

тестів (мінімальне можливе

покриття) слід виконати, щоб досягнути мети:

"протестувати усі рішення (decisions)"

зняття 200 грн схема бізнес-логіки

View this question

Тестується

процедура зняття готівки сумою у 200 грн в банкоматі.

BPMN

-модель процедури показана на рисунку. Які з наступних

тестів (мінімальне можливе

покриття) слід виконати, щоб досягнути мети:

"протестувати усі рішення (decisions)"

зняття 200 грн схема бізнес-логіки

View this question

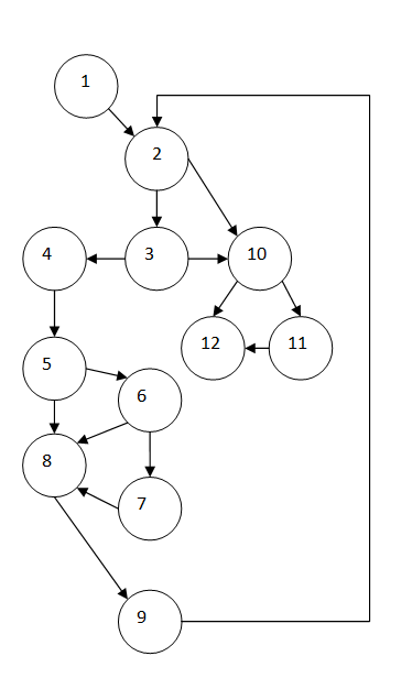
Чи можливо одним тестом перевірити код, схема якого зображена на рисунку

View this question

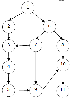
Яка цикломатична складність коду, граф якого зображено

на рисунку

View this question

Яка цикломатична складність коду, граф якого зображено

на рисунку

View this question

Чи можливо одним тестом перевірити код, схема якого зображена на рисунку

View this question

Want instant access to all verified answers on vns.lpnu.ua?

Get Unlimited Answers To Exam Questions - Install Crowdly Extension Now!

Browser

Add to Chrome