logo

Crowdly

Browser

Add to Chrome

Тестування програмного забезпечення

Looking for Тестування програмного забезпечення test answers and solutions? Browse our comprehensive collection of verified answers for Тестування програмного забезпечення at vns.lpnu.ua.

Get instant access to accurate answers and detailed explanations for your course questions. Our community-driven platform helps students succeed!

Тестуючи певний продукт

слід виконати 9

тест-кейс

ів. Тестування виконують дві команди тестувальників.

Кожен із

тест-кейс

ів може виконати будь-яка із команд, проте унаслідок

особливостей складу та спеціалізації вони затрачають на це різний час. Необхідні

для виконання текст-кейсів проміжки часу (у годинах) вказано у таблиці.

  ТК1 ТК2 ТК3 ТК4 ТК5 ТК6 ТК7 ТК8 ТК9
Team_1447353335
Team_2358344734

Складіть план тестування таким чином, щоб тестування було

завершено у найбільш стислі терміни. У поле відповіді введіть у порядку

зростання без розділових знаків номери

тест-кейсів, які має виконати команда Team_2.

View this question

Деякий модуль програми здійснює побудову трикутника із

заданими довжинами сторін. Однією із компонент цього модуля є процедура, що

тестує коректність введених даних, логічну схему процедури зображено на

рисунку. Якого найбільшого відсотка

покриття усіх шляхів (path coverage) можна досягнути?

перевірка чи 3 числа можуть бути сторонами трикутника

View this question

Тестується

процедура зняття готівки сумою у 200 грн в банкоматі.

BPMN

-модель процедури показана на рисунку. Які з наступних

тестів (мінімальне можливе

покриття) слід виконати, щоб досягнути мети:

"виконати усі можливі завдання

(tasks)"

зняття 200 грн схема бізнес-логіки

View this question

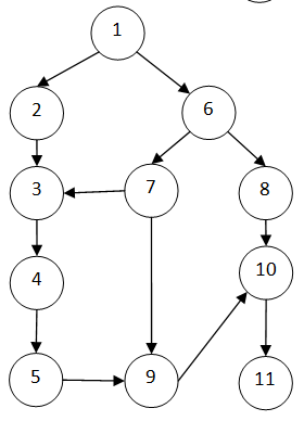
Чи можливо одним тестом перевірити код, схема якого зображена на рисунку

View this question

Чи можливо одним тестом перевірити код, схема якого зображена на рисунку

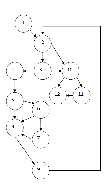
View this question

Чи можливо одним тестом перевірити код, схема якого зображена на рисунку

View this question

Ви тестовий аналітик у компанії, яка надає стимули своїм клієнтам на основі того, скільки грошей вони витрачають на покупки в Інтернеті:

Категорія 1:

42.19₴4218.58₴ = 5%

Категорія 2:

4219.00₴21092.89₴ = 7,5%

Категорія 3: понад

21092.89₴ = 10%

Нещодавно компанія виявила, що їхні конкуренти пропонують кращі стимули за ті ж суми витрачених грошей, і тепер хочуть оновити свою поточну ставку заохочення (за того ж розбиття по категоріях), щоб не поступатись конкуренту.

Використовуючи методику

розбиття на класи еквівалентності, який із наведених нижче наборів тестів є правильним для досягнення 100% охоплення з мінімальною кількістю тестових випадків?

0%
0%
0%
0%
View this question

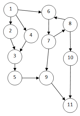
Чи можливо одним тестом перевірити код, схему якого зображено

на рисунку

View this question

Чи можливо одним тестом перевірити код, схема якого зображена на рисунку

View this question

При купівлі товару у автоматизованому магазині клієнт повинен вказати вірний код товару і внести оплату готівкою або карткою. При оплаті карткою здійснюється перевірка PIN та достатньої кількості коштів на рахунку.

Враховуючи цю

інформацію, використовуючи

методику

таблиці рішень, яка мінімальна кількість

тестових випадків вам знадобиться для перевірки таблиці рішень?

View this question

Want instant access to all verified answers on vns.lpnu.ua?

Get Unlimited Answers To Exam Questions - Install Crowdly Extension Now!

Browser

Add to Chrome