logo

Crowdly

Browser

Add to Chrome

Числові методи та інформаційні технології в будівництві

Looking for Числові методи та інформаційні технології в будівництві test answers and solutions? Browse our comprehensive collection of verified answers for Числові методи та інформаційні технології в будівництві at vns.lpnu.ua.

Get instant access to accurate answers and detailed explanations for your course questions. Our community-driven platform helps students succeed!

Апроксимувати прямою лінією

таблично задану функцію методом найменших квадратів

View this question

Дані числа a1 = 82,834, і a2 =42,209

з абсолютними

похибками  Δ1 = Δ2 = 0,055. Оцінити відносну похибку їх різниці a  = a

- a2.

100%
0%
0%
0%
View this question

Побудувати геометричну та скінченно-елементну

модель навісу показаного на рисунку. Здійснити статичний розрахунок

конструкції.

Величину і місце навантаження вибрати самостійно. Товщину

пластини

вибрати 10 мм. Вивести на екран

напруження

в пластині, стрижнях та

реакції опор методом Freebody.

.

View this question

Дані числа a1 = 85,225 і a2 = 8,263

з абсолютними

похибками  Δ1 = Δ2 = 0,022. Оцінити відносну похибку їх добутку a= a1a2.

0%
0%
100%
0%
View this question

Визначити абсолютну похибку

наближеного числа за його відносною похибкою  

а=37,768; δ = 0.80 %.



0%
0%
100%
0%
View this question

Визначити кількість вірних

значущих цифр числа а =

12,3079, якщо відома його відносна похибка

δ

= 0,1 %.

0%
0%
0%
100%
View this question

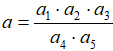
Обчислити   вважаючи, що всі числа дані з вірними знаками:

а1=9.47             а2=161.94

;

     

а3=0,03911;                а4=6,7189;                  а5=58,672.

0%
100%
0%
0%
View this question

Дані числа a1 = 75,562, і a2 =18,138 

з абсолютними

похибками  Δ1 = Δ2 = 0,017. Оцінити відносну похибку їх різниці a  = a

- a2.

0%
0%
0%
0%
View this question

Побудувати геометричну та скінченно-елементну

модель навісу показаного на рисунку. Здійснити статичний розрахунок

конструкції.

Величину і місце навантаження вибрати самостійно. Товщину

пластини

вибрати 10 мм. Вивести на екран

напруження

в пластині, стрижнях та

реакції опор методом Freebody.

.

View this question

Знайти суму наближених чисел a  = a1  + a2+ a3  + a4

вважаючи, що всі числа

дані з вірними знаками:

а1=8,96;     а2=21,867

;

       

а3=742,5;       а4=82,41

0%
0%
0%
0%
View this question

Want instant access to all verified answers on vns.lpnu.ua?

Get Unlimited Answers To Exam Questions - Install Crowdly Extension Now!

Browser

Add to Chrome