logo

Crowdly

Browser

Add to Chrome

Числові методи та інформаційні технології в будівництві

Looking for Числові методи та інформаційні технології в будівництві test answers and solutions? Browse our comprehensive collection of verified answers for Числові методи та інформаційні технології в будівництві at vns.lpnu.ua.

Get instant access to accurate answers and detailed explanations for your course questions. Our community-driven platform helps students succeed!

Побудувати геометричну та скінченно-елементну

модель навісу показаного на рисунку. Здійснити статичний розрахунок

конструкції.

Величину і місце навантаження вибрати самостійно. Товщину

пластини

вибрати 10 мм. Вивести на екран

напруження

в пластині, стрижнях та

реакції опор методом Freebody.

.

View this question

Знайти наближене значення функції заданої таблично з

допомогою інтерполяційного поліному  

Ньютона 3-го ступеня

View this question

Дані числа a1 = 51,769 і a2 = 19,560

з абсолютними

похибками  Δ1 = Δ2 = 0,046. Оцінити відносну похибку їх суми a= a1+a2.

0%
100%
0%
0%
View this question

Визначити кількість вірних

значущих цифр числа а =

633,944, якщо відома його відносна похибка

δ

= 0,1 %.

0%
0%
100%
0%
View this question

Побудувати геометричну та скінченно-елементну

модель навісу показаного на рисунку. Здійснити статичний розрахунок

конструкції.

Величину і місце навантаження вибрати самостійно. Товщину

пластини

вибрати 10 мм. Вивести на екран

напруження

в пластині, стрижнях та

реакції опор методом Freebody.

.

View this question

Визначити абсолютну похибку

наближеного числа за його відносною похибкою  

а=60,965; δ = 0.50 %.



0%
0%
100%
0%
View this question

Дані числа a1 = 76,064, і a2 =35,454 

з абсолютними

похибками  Δ1 = Δ2 = 0,099. Оцінити відносну похибку їх добутку a= a1a2.

0%
0%
100%
0%
View this question

Побудувати геометричну та скінченно-елементну

модель навісу показаного на рисунку. Здійснити статичний розрахунок

конструкції.

Величину і місце навантаження вибрати самостійно. Товщину

пластини

вибрати 10 мм. Вивести на екран

напруження

в пластині, стрижнях та

реакції опор методом Freebody.

.

View this question

Знайти наближене значення функції заданої таблично з

допомогою інтерполяційного поліному 

Ньютона 3-го ступеня

View this question

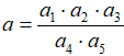
Обчислити   вважаючи, що всі числа дані з вірними знаками:

а1=6.17;         а2=140.60

;

     

а3=0.08713;                а4=2.0254;                  а5=72.660.

0%
0%
0%
0%
View this question

Want instant access to all verified answers on vns.lpnu.ua?

Get Unlimited Answers To Exam Questions - Install Crowdly Extension Now!

Browser

Add to Chrome