logo

Crowdly

Browser

Add to Chrome

Числові методи та інформаційні технології в будівництві

Looking for Числові методи та інформаційні технології в будівництві test answers and solutions? Browse our comprehensive collection of verified answers for Числові методи та інформаційні технології в будівництві at vns.lpnu.ua.

Get instant access to accurate answers and detailed explanations for your course questions. Our community-driven platform helps students succeed!

Дані числа a1 = 58,667 і a2 = 4,125

з абсолютними

похибками  Δ1 = Δ2 = 0,053. Оцінити відносну похибку їх різниці a  = a

- a2.

0%
0%
0%
0%
View this question

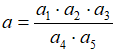
Обчислити   вважаючи, що всі числа дані з вірними знаками:

а1=2,54         а2=564,78

;

     

а3=0,01029;                а4=7,1743                  а5=52,987.

0%
0%
0%
100%
View this question

Дані числа a1 = 90,432 і a2 = 36,716

з абсолютними

похибками  Δ1 = Δ2 = 0,078. Оцінити відносну похибку їх частки a= a1/a2.

0%
0%
0%
0%
View this question

Дані числа a1 = 63,849, і a2 = 13,560 

з абсолютними

похибками  Δ1 = Δ2 = 0,054. Оцінити відносну похибку їх частки a= a1/a2.

View this question

Визначити кількість вірних

значущих цифр числа а =

185,089

, якщо відома його абсолютна

похибка Δ = 0,9.

View this question

Округлити число A=961,3732  

до трьох значущих

цифр, визначити відносну δ похибку отриманого наближеного

числа.

View this question

Дані числа a1 = 54,546 і a2 = 45,242

з абсолютними

похибками  Δ1 = Δ2 = 0,064. Оцінити відносну похибку їх різниці a  = a

- a2.

View this question

Визначити абсолютну похибку

наближеного числа за його відносною похибкою  

а=47,199; δ = 1.85 %.



View this question

Обчислити   вважаючи, що всі числа дані з вірними знаками:

а1=3,2;            а2=356,7

;

     

а3=0,04811;                а4=7,1948;                  а5=34,56.

View this question

Дані числа a1 = 60,433, і a2 = 46,600 

з абсолютними

похибками  Δ1 = Δ2 = 0,048. Оцінити відносну похибку їх різниці a  = a

- a2.

0%
0%
0%
0%
View this question

Want instant access to all verified answers on vns.lpnu.ua?

Get Unlimited Answers To Exam Questions - Install Crowdly Extension Now!

Browser

Add to Chrome