logo

Crowdly

Browser

Add to Chrome

Числові методи та інформаційні технології в будівництві

Looking for Числові методи та інформаційні технології в будівництві test answers and solutions? Browse our comprehensive collection of verified answers for Числові методи та інформаційні технології в будівництві at vns.lpnu.ua.

Get instant access to accurate answers and detailed explanations for your course questions. Our community-driven platform helps students succeed!

Дані числа a1 = 63,890, і a2 =11,664 

з абсолютними

похибками  Δ1 = Δ2 = 0,098. Оцінити відносну похибку їх суми a= a1+a2.

0%
100%
0%
0%
View this question

Побудувати геометричну та скінченно-елементну

модель навісу показаного на рисунку. Здійснити статичний розрахунок

конструкції.

Величину і місце навантаження вибрати самостійно. Товщину

пластини

вибрати 10 мм. Вивести на екран

напруження

в пластині, стрижнях та

реакції опор методом Freebody.

.

View this question

Дані числа a1 = 86,513, і a2 = 22,960 

з абсолютними

похибками  Δ1 = Δ2 = 0,020. Оцінити відносну похибку їх різниці a  = a

- a2.

0%
100%
0%
0%
View this question

Побудувати геометричну та скінченно-елементну

модель навісу показаного на рисунку. Здійснити статичний розрахунок конструкції.

Величину і місце навантаження вибрати самостійно. Товщину

пластини вибрати 10 мм. Вивести на екран напруження в пластині, стрижнях та реакції опор методом Freebody.

.

View this question

Закодувати розріджену матрицю у форматі Compressed Sparse Row Format та обчислити економію пам’яті зберігання даних

5.

 

3.

 

 

 

2.

 

 

 

 

 

9.

 

 

 

3.

 

5.

1.

7.

 

 

 

6.

View this question

Побудувати геометричну та скінченно-елементну

модель навісу показаного на рисунку. Здійснити статичний розрахунок

конструкції.

Величину і місце навантаження вибрати самостійно. Товщину

пластини

вибрати 10 мм. Вивести на екран

напруження

в пластині, стрижнях та

реакції опор методом Freebody.

12

.

View this question

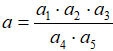
Обчислити   вважаючи, що всі числа дані з вірними знаками:

а1=6,49             а2=905,44

;

     

а3=0,01927;                а4=5,5886;                  а5=96,452.

0%
0%
33%
67%
View this question

Побудувати геометричну та скінченно-елементну

модель навісу показаного на рисунку. Здійснити статичний розрахунок

конструкції.

Величину і місце навантаження вибрати самостійно. Товщину

пластини

вибрати 10 мм. Вивести на екран

напруження

в пластині, стрижнях та

реакції опор методом Freebody.

12

.

View this question

Знайти наближене значення функції заданої таблично з

допомогою інтерполяційного поліному

Ньютона 3-го ступеня

View this question

Дані числа a1 = 77,453, і a2 =37,766 

з абсолютними

похибками  Δ1 = Δ2 = 0,059. Оцінити відносну похибку їх  частки a= a1/a2.

0%
0%
0%
100%
View this question

Want instant access to all verified answers on vns.lpnu.ua?

Get Unlimited Answers To Exam Questions - Install Crowdly Extension Now!

Browser

Add to Chrome