logo

Crowdly

Browser

Add to Chrome

Числові методи та інформаційні технології в будівництві

Looking for Числові методи та інформаційні технології в будівництві test answers and solutions? Browse our comprehensive collection of verified answers for Числові методи та інформаційні технології в будівництві at vns.lpnu.ua.

Get instant access to accurate answers and detailed explanations for your course questions. Our community-driven platform helps students succeed!

View this question

Побудувати геометричну та скінченно-елементну

модель навісу показаного на рисунку. Здійснити статичний розрахунок

конструкції.

Величину і місце навантаження вибрати самостійно. Товщину

пластини

вибрати 10 мм. Вивести на екран

напруження

в пластині, стрижнях та

реакції опор методом Freebody.

.

View this question

Дані числа a1 = 87,450 і a2 = 39,254

з абсолютними

похибками  Δ1 = Δ2 = 0,069. Оцінити відносну похибку їх різниці a  = a

- a2.

0%
0%
100%
0%
View this question

Знайти наближене значення функції заданої таблично з

допомогою інтерполяційного поліному Лагранжа 2-го ступеня

View this question

Побудувати геометричну та скінченно-елементну

модель навісу показаного на рисунку. Здійснити статичний розрахунок

конструкції.

Величину і місце навантаження вибрати самостійно. Товщину

пластини

вибрати 10 мм. Вивести на екран

напруження

в пластині, стрижнях та

реакції опор методом Freebody.

.

View this question

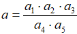
Обчислити   вважаючи, що всі числа дані з вірними знаками:

а1=8,01             а2=487,65

;

     

а3=0,09644;                а4=6,6263;                  а5=17,658.

0%
0%
0%
0%
View this question

Дані числа a1 = 86,124, і a2 = 8,875 

з абсолютними

похибками  Δ1 = Δ2 = 0,069. Оцінити відносну похибку їх різниці a  = a

- a2.

0%
0%
0%
0%
View this question

Побудувати геометричну та скінченно-елементну

модель навісу показаного на рисунку. Здійснити статичний розрахунок

конструкції.

Величину і місце навантаження вибрати самостійно. Товщину

пластини

вибрати 10 мм. Вивести на екран

напруження

в пластині, стрижнях та

реакції опор методом Freebody.

.

View this question

Визначити абсолютну похибку

наближеного числа за його відносною похибкою  

а=17,589; δ = 1.86 %.



50%
50%
0%
0%
View this question

Побудувати геометричну та скінченно-елементну

модель навісу показаного на рисунку. Здійснити статичний розрахунок

конструкції.

Величину і місце навантаження вибрати самостійно. Товщину

пластини

вибрати 10 мм. Вивести на екран

напруження

в пластині, стрижнях та

реакції опор методом Freebody.

.

View this question

Want instant access to all verified answers on vns.lpnu.ua?

Get Unlimited Answers To Exam Questions - Install Crowdly Extension Now!

Browser

Add to Chrome