logo

Crowdly

Browser

Add to Chrome

Теорія хімічних процесів органічного синтезу [04944]

Looking for Теорія хімічних процесів органічного синтезу [04944] test answers and solutions? Browse our comprehensive collection of verified answers for Теорія хімічних процесів органічного синтезу [04944] at vns.lpnu.ua.

Get instant access to accurate answers and detailed explanations for your course questions. Our community-driven platform helps students succeed!

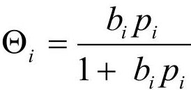
Частку

поверхні гетерогенного каталізатора, зайняту і-м компонентом, за умови

адсорбції декількох компонентів визначають за рівнянням

View this question
При послідовній реакції С4Н10 → С4Н8 → С4Н6 частинні ступені перетворення бутану в бутен та дивініл становлять відповідно 0,38 та 0,04. Обчислити склад суміші, якщо початкова кількість бутану становить 21 моль.
0%
0%
0%
View this question
Ступінь перетворення реагенту для рівноважної реакції змінюється:
0%
0%
0%
View this question
Реакцію A → B здійснюють у двох РІЗ за однакових умов. У першому апараті V = 2 м3; W = 100 л/хв; CA,0 = 2 моль/л; CA = 0,2 моль/л; Визначити, якою концентрація А буде на виході з реактора об'ємом V = 3 м3 при W = 300 л/хв; CA,0 = 4 моль/л.
0%
0%
0%
View this question
Як електрофільний каталізатор застосовують:
0%
0%
0%
0%
View this question
Теплота хемосорбції становить (кДж/моль):
0%
0%
0%
View this question
Ступінь перетворення реагенту для реакції в реакторі періодичної дії:
0%
0%
0%
View this question
За принципом стаціонарних концентрацій:
View this question
Як кислотний каталізатор застосовують:
0%
0%
0%
0%
View this question
Температурна область перебігу фізичної адсорбції:
0%
0%
0%
View this question

Want instant access to all verified answers on vns.lpnu.ua?

Get Unlimited Answers To Exam Questions - Install Crowdly Extension Now!

Browser

Add to Chrome