logo

Crowdly

Browser

Add to Chrome

Теорія хімічних процесів органічного синтезу [04944]

Looking for Теорія хімічних процесів органічного синтезу [04944] test answers and solutions? Browse our comprehensive collection of verified answers for Теорія хімічних процесів органічного синтезу [04944] at vns.lpnu.ua.

Get instant access to accurate answers and detailed explanations for your course questions. Our community-driven platform helps students succeed!

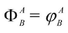
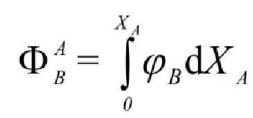
Рівняння зв’язку інтегральної

і диференціальної селективності:

0%
0%
0%
View this question
Каталізатор:
0%
0%
0%
View this question
Селективність утворення продукту може набувати значень:
0%
0%
0%
View this question

Want instant access to all verified answers on vns.lpnu.ua?

Get Unlimited Answers To Exam Questions - Install Crowdly Extension Now!

Browser

Add to Chrome