logo

Crowdly

Browser

Add to Chrome

Чисельні методи [02763]

Looking for Чисельні методи [02763] test answers and solutions? Browse our comprehensive collection of verified answers for Чисельні методи [02763] at vns.lpnu.ua.

Get instant access to accurate answers and detailed explanations for your course questions. Our community-driven platform helps students succeed!

Визначити мінімальне власне число матриці 

View this question

Визначити мінімальне власне число матриці 

0%
0%
0%
0%
View this question

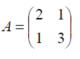
Для матриці . Знайти максимальне власне число матриці A за методом Якобі. 

View this question

Для системи нелінійних рівнянь  Знайти матрицю Якобі.

0%
0%
0%
0%
View this question

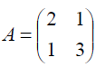
Для матриці . Знайти максимальне власне число матриці A за методом Якобі. 

View this question

Визначити LU- розклад матриці . У відповіді навести вигляд матриці U.

View this question

У відповіді навести значення абсолютної похибки.

View this question

Визначити кількість вірних цифр в числі x

*

, якщо відома

його

відносна похибка

:

1) x

*=22,351, δ(x

*

)=0,1;

View this question

Визначити LU- розклад матриці . У відповіді навести вигляд матриці U.

0%
0%
0%
0%
View this question

Обчислити визначник матриці .

0%
0%
0%
0%
View this question

Want instant access to all verified answers on vns.lpnu.ua?

Get Unlimited Answers To Exam Questions - Install Crowdly Extension Now!

Browser

Add to Chrome