logo

Crowdly

Browser

Add to Chrome

Чисельні методи [02763]

Looking for Чисельні методи [02763] test answers and solutions? Browse our comprehensive collection of verified answers for Чисельні методи [02763] at vns.lpnu.ua.

Get instant access to accurate answers and detailed explanations for your course questions. Our community-driven platform helps students succeed!

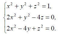
Для системи нелінійних рівнянь  Знайти матрицю Якобі.

View this question

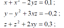
Провести інтерполяцію методом Лагранжа. Точки задані таблично

0%
0%
0%
0%
View this question

Скільки значущих цифр у числі x=0,03105600 ? 

View this question

Обчислити визначник матриці .

View this question

При розв'язуванні нелінійних рівнянь використовується матриця Якобі.

55%
45%
View this question

Метод ітерацій

збігається для

довільного початкового значення

. Завдяки цьому він є самовиправляючим,

тобто

окрема помилка в обчисленнях не впливає на кінцевий результат, бо помилкове

значення можна розглядати як нове початкове наближення

.

70%
30%
View this question

Розв’язати рівняння

– означає встановити, чи має

воно корені на вказаному проміжку, з’ясувати кількість коренів, відшукати

значення всіх виявлених коренів із заданою точністю.

100%
0%
View this question

 

До

методів уточнення розв’язків нелінійних рівнянь: 

a)  

метод

ітерацій

b)  

метод

Сімпсона

c)  

метод

ділення навпіл

d)  

метод

Ньютона

e)  

метод

хорд

f)   

метод

трапецій

View this question

Переваги метода половинного ділення?

View this question

Які є переваги методу Ньютона?

View this question

Want instant access to all verified answers on vns.lpnu.ua?

Get Unlimited Answers To Exam Questions - Install Crowdly Extension Now!

Browser

Add to Chrome