logo

Crowdly

Browser

Add to Chrome

Схемотехніка пристроїв технічного захисту інформації [03752]

Looking for Схемотехніка пристроїв технічного захисту інформації [03752] test answers and solutions? Browse our comprehensive collection of verified answers for Схемотехніка пристроїв технічного захисту інформації [03752] at vns.lpnu.ua.

Get instant access to accurate answers and detailed explanations for your course questions. Our community-driven platform helps students succeed!

Чим відрізняються електронні автогенератори від підсилювачів?
0%
100%
0%
0%
View this question
Чому не можна заземляти навантаження у підсилювачі постійного струму  безпосереднього підсилення?
0%
0%
0%
100%
View this question
Яким сигналом керується безтрансформаторний двотактний підсилювач потужності з несиметричним виходом?
0%
0%
100%
0%
View this question

Яким є кут відсікання у класі А роботи підсилювача на транзисторі

0%
0%
0%
100%
View this question

Яким чином пов’язані струми в електродах в БТ?

100%
0%
0%
View this question

Яку залежність являють собою вихідні вольт-амперні характеристики БТ для схеми зі спільним емітером?

100%
0%
0%
View this question

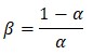
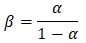
Яким співвідношенням пов’язані між собою коефіцієнт передачі струму бази та коефіцієнт передачі струму емітера БТ

100%
0%
0%
View this question
За яких умов ефективним є використання ємнісних згладжувальних фільтрів?
0%
100%
0%
0%
View this question
Яке співвідношення між струмами виконується в p-n-переході за його зворотного увімкнення?
0%
100%
0%
View this question
Питома електрична провідність напівпровідників становить
100%
0%
0%
View this question

Want instant access to all verified answers on vns.lpnu.ua?

Get Unlimited Answers To Exam Questions - Install Crowdly Extension Now!

Browser

Add to Chrome