logo

Crowdly

Browser

Add to Chrome

Теорія автоматичного керування [02561]

Looking for Теорія автоматичного керування [02561] test answers and solutions? Browse our comprehensive collection of verified answers for Теорія автоматичного керування [02561] at vns.lpnu.ua.

Get instant access to accurate answers and detailed explanations for your course questions. Our community-driven platform helps students succeed!

Назвіть характеристику автоматичного регулятора, зображену на рисунку.

View this question
Якому регулятору відповідає структурна схема, показана на рисунку?

View this question
Перехідна характеристика якого регулятора наведено на рисунку?? 

View this question
Назвіть характеристику автоматичного регулятора, зображену на рисунку.

View this question
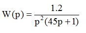
САР з П-регулятором і з функцією передачі об’єкта регулювання   є… (виберіть правильний варіант відповіді):
View this question

Якою буде лінійна замкнута САР, якщо характеристичне рівняння

розімкнутої САР має два додатних кореня і амплітудно-фазова

характеристика розімкнутої САР має вигляд, показаний на рисунку?

View this question
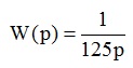
САР з I-регулятором  і з функцією передачі  об’єкта регулювання є … (виберіть правильний варіант відповіді):
View this question

За діаграмою Боде стійкої розімкнутої лінійної системи автоматичного регулювання (САР), показаною на рисунку, встановити стійкість замкнутої САР

View this question
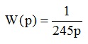
САР з I-регулятором  і з функцією передачі  об’єкта регулювання є… (виберіть правильний варіант відповіді):
View this question

Графік якого перехідного процесу регулювання зображено на рисунку?

View this question

Want instant access to all verified answers on vns.lpnu.ua?

Get Unlimited Answers To Exam Questions - Install Crowdly Extension Now!

Browser

Add to Chrome