logo

Crowdly

Browser

Add to Chrome

Теорія автоматичного керування [02561]

Looking for Теорія автоматичного керування [02561] test answers and solutions? Browse our comprehensive collection of verified answers for Теорія автоматичного керування [02561] at vns.lpnu.ua.

Get instant access to accurate answers and detailed explanations for your course questions. Our community-driven platform helps students succeed!

З яким регулятором система регулювання, зображена на функціональній схемі буде нестійкою?

View this question

За діаграмою Боде стійкої розімкнутої лінійної системи автоматичного регулювання (САР), показаною на рисунку, встановити стійкість замкнутої САР

View this question
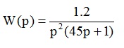
САР з П-регулятором і з функцією передачі об’єкта регулювання   є… (виберіть правильний варіант відповіді):
View this question

Який годограф Михайлова відповідає стійкій динамічній системі? (n – порядок характеристичного рівняння)

0%
0%
0%
0%
View this question

Якій САР відповідає перехідний процес регулювання, зображений на рисунку?

View this question
Логарифмічна амплітудно-частотна характеристика якої ланки показана на рисунку?

View this question
Логарифмічна амплітудно-частотна характеристика якої ланки показана на рисунку?

0%
0%
0%
0%
View this question
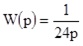
Логарифмічна амплітудно-частотна характеристика якої ланки показана на рисунку?\

View this question
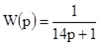
Перетворення Лапласа від перехідної функції об’єкта має вигляд . Яка функція передачі елемента?
View this question
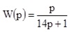
Перетворення Лапласа від перехідної функції об’єкта має вигляд . Яка функція передачі елемента ?
View this question

Want instant access to all verified answers on vns.lpnu.ua?

Get Unlimited Answers To Exam Questions - Install Crowdly Extension Now!

Browser

Add to Chrome