logo

Crowdly

Browser

Add to Chrome

Теорія автоматичного керування [02561]

Looking for Теорія автоматичного керування [02561] test answers and solutions? Browse our comprehensive collection of verified answers for Теорія автоматичного керування [02561] at vns.lpnu.ua.

Get instant access to accurate answers and detailed explanations for your course questions. Our community-driven platform helps students succeed!

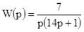
Перетворення Лапласа від перехідної функції  елемента має вигляд . Якою буде функція передачі елемента?
View this question
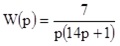
Перетворення Лапласа від перехідної функції елемента має вигляд . Яка функція передачі елемента?
View this question
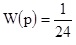
Перетворення Лапласа від перехідної функції об’єкта  має вигляд. Яка функція передачі елемента?
View this question
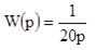
Функція передачі об’єкта має вигляд  . Яким рівнянням описується імпульсна перехідна функція C(t) об’єкта?
View this question

Якою буде функція передачі W(p) САР, показаної на рисунку, при дії збурення z:

0%
0%
0%
0%
View this question

Функція передачі W(p) САР, структурна схема якої показана на рисунку, визначається за формулою:

View this question
Знайдіть правильний вираз для знаходження функції передачі з’єднання, показаного на рисунку (W – функція передачі елемента):

View this question
Знайдіть правильний вираз для знаходження функції передачі з’єднання, показаного на рисунку (W – функція передачі елемента):

View this question
Знайдіть правильний вираз для знаходження фазо-частотної характеристики з’єднання, показаного на рисунку (φ – ФЧХ елемента):

View this question
Функція передачі  є моделлю … (виберіть правильну відповідь)
0%
0%
0%
0%
View this question

Want instant access to all verified answers on vns.lpnu.ua?

Get Unlimited Answers To Exam Questions - Install Crowdly Extension Now!

Browser

Add to Chrome