logo

Crowdly

Browser

Add to Chrome

Теорія автоматичного керування [02561]

Looking for Теорія автоматичного керування [02561] test answers and solutions? Browse our comprehensive collection of verified answers for Теорія автоматичного керування [02561] at vns.lpnu.ua.

Get instant access to accurate answers and detailed explanations for your course questions. Our community-driven platform helps students succeed!

Яка функція передачі компенсатора Wk(p) забезпечить інваріантність САР, схема якої показана на рисунку, якщо функція передачі OP за збуренням Wz(p)= 0.1/p, за регулюючою дією Wy(p)=1/(25p+1) і регулятора WAP(p)= 1+1/10p?

0%
0%
0%
0%
100%
View this question
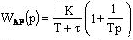
Якою є функція передачі АР, показаного на рисунку? (прийняти е-рτ ≈1-рτ)

0%
100%
0%
0%
0%
View this question
Яка функція передачі компенсатора Wk(p) забезпечить інваріантність САР, схема якої показана на рисунку, якщо функція передачі OP за збуренням Wz(p)=1/(25p+1), за регулюючою дією Wy(p)=0.1/p і регулятора WAP(p)=1+1/(25p)?

0%
0%
0%
0%
100%
View this question
Структурна схема якого регулятора показана на рисунку (прийняти е-рτ ≈1-рτ)?

0%
0%
100%
0%
0%
View this question
Яка коректуюча ланка Wk(p) застосована в САР, що показана на рисунку?

0%
100%
0%
0%
0%
View this question
Знайти першу інтегральну оцінку перехідної функції системи з функцією передачі W(p)=(kTp)/(Tp+1)
View this question
Методом розширених частотних характеристик (m=0,5) розрахувати параметр настроювання П-регулятора, якщо функція передачі об’єкта регулювання W(p)=(10p+1)-4/81, (Розширена АЧХ аперіодичної ланки першого порядку визначається за формулою, розширена ФЧХ  )
0%
100%
0%
0%
0%
View this question
Як зміниться якість САР із статичним ОР, якщо параметри ПІ-регулятора зміняться вздовж границі області запасу стійкості від екстремальної точки до вказаної точки на рисунку?

0%
0%
0%
100%
0%
View this question
Як зміниться якість САР із статичним ОР, якщо параметри ПІ-регулятора зміняться вздовж границі області запасу стійкості від вказаної точки до екстремальної точки на рисунку?

0%
100%
0%
0%
0%
View this question
Які корені характеристичного рівняння динамічної системи визначають коливний перехідний процес із заникаючою амплітудою?
View this question

Want instant access to all verified answers on vns.lpnu.ua?

Get Unlimited Answers To Exam Questions - Install Crowdly Extension Now!

Browser

Add to Chrome