logo

Crowdly

Browser

Add to Chrome

Теорія автоматичного керування [02561]

Looking for Теорія автоматичного керування [02561] test answers and solutions? Browse our comprehensive collection of verified answers for Теорія автоматичного керування [02561] at vns.lpnu.ua.

Get instant access to accurate answers and detailed explanations for your course questions. Our community-driven platform helps students succeed!

Назвіть характеристику автоматичного регулятора, зображену на рисунку.

0%
0%
100%
0%
0%
View this question
На рисунку наведено структурну схему:

0%
0%
0%
0%
100%
View this question
Якому регулятору відповідає структурна схема, показана на рисунку?

0%
100%
0%
0%
0%
View this question
Перехідна характеристика якого регулятора наведено на рисунку?? 

0%
0%
0%
100%
0%
View this question
Назвіть характеристику автоматичного регулятора, зображену на рисунку.

0%
0%
0%
0%
100%
View this question
Який регулятор має перехідну характеристику, що показана на рисунку?

0%
100%
0%
0%
View this question
САР з коефіцієнтом передачі П-регулятора  і з функцією передачі  об’єкта регулювання є… (виберіть правильний варіант відповіді):
100%
0%
0%
0%
0%
View this question
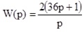
Знайдіть функцію передачі W(p) елемента, на вхід якого діє одиничний стрибкоподібний сигнал, а перетворення Лапласа від вихідного сигналу має вигляд

View this question
Перетворення Лапласа від перехідної функції об’єкта має вигляд . Яка функція передачі елемента?
0%
0%
100%
0%
0%
View this question

За діаграмою Боде стійкої розімкнутої лінійної системи автоматичного

регулювання (САР), показаною на рисунку, встановити

стійкість

замкнутої

САР.

0%
0%
100%
0%
0%
View this question

Want instant access to all verified answers on vns.lpnu.ua?

Get Unlimited Answers To Exam Questions - Install Crowdly Extension Now!

Browser

Add to Chrome