logo

Crowdly

Browser

Add to Chrome

Теорія автоматичного керування [02561]

Looking for Теорія автоматичного керування [02561] test answers and solutions? Browse our comprehensive collection of verified answers for Теорія автоматичного керування [02561] at vns.lpnu.ua.

Get instant access to accurate answers and detailed explanations for your course questions. Our community-driven platform helps students succeed!

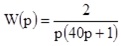
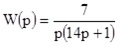
Перетворення Лапласа від перехідної функції  елемента має вигляд . Якою буде функція передачі елемента?
View this question
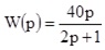
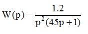
Перетворення Лапласа від перехідної функції елемента має вигляд . Яка функція передачі елемента?
View this question
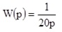
Функція передачі об’єкта має вигляд  . Яким рівнянням описується імпульсна перехідна функція C(t) об’єкта?
View this question
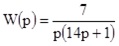
Перетворення Лапласа від перехідної функції об’єкта  має вигляд. Яка функція передачі елемента?
100%
0%
0%
0%
0%
View this question
САР з П-регулятором і з функцією передачі об’єкта регулювання   є… (виберіть правильний варіант відповіді):
0%
0%
0%
100%
0%
View this question

Якою буде лінійна замкнута САР, якщо характеристичне рівняння

розімкнутої САР має два додатних кореня і амплітудно-фазова

характеристика розімкнутої САР має вигляд, показаний на рисунку?

100%
0%
0%
0%
0%
View this question
САР з I-регулятором  і з функцією передачі  об’єкта регулювання є… (виберіть правильний варіант відповіді):
0%
0%
0%
100%
0%
View this question
Динамічна система з характеристичним рівнянням  є:
0%
0%
100%
0%
0%
View this question
Яке розміщення коренів характеристичного рівняння в комплексній площині відповідає нестійкій системі автоматичного регулювання?
20%
0%
0%
0%
0%
View this question
Запас стійкості σ системи автоматичного регулювання за амплітудою визначають за формулою (рс – розімкута система; зс – замкнута система):
0%
11%
0%
11%
0%
View this question

Want instant access to all verified answers on vns.lpnu.ua?

Get Unlimited Answers To Exam Questions - Install Crowdly Extension Now!

Browser

Add to Chrome