logo

Crowdly

Browser

Add to Chrome

Теорія автоматичного керування [02561]

Looking for Теорія автоматичного керування [02561] test answers and solutions? Browse our comprehensive collection of verified answers for Теорія автоматичного керування [02561] at vns.lpnu.ua.

Get instant access to accurate answers and detailed explanations for your course questions. Our community-driven platform helps students succeed!

Функція передачі W(p) САР, структурна схема якої показана на рисунку, визначається за формулою:

0%
0%
100%
0%
0%
View this question

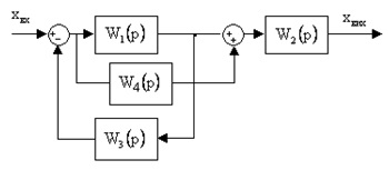
Функція передачі W(p) каскадної САР, структурна схема якої показана на рисунку, визначається за формулою:

0%
0%
0%
0%
100%
View this question
Знайдіть правильний вираз для знаходження фазо-частотної характеристики з’єднання, показаного на рисунку (φ – ФЧХ елемента):

0%
0%
100%
0%
0%
View this question
Знайдіть правильний вираз для знаходження функції передачі з’єднання, показаного на рисунку (W – функція передачі елемента):

0%
100%
0%
0%
0%
View this question
Знайдіть правильний вираз для знаходження амплітудно-частотної характеристики з’єднання, показаного на рисунку (A – АЧХ елемента):

0%
0%
100%
0%
0%
View this question
Логарифмічна амплітудно-частотна характеристика якої ланки показана на рисунку?

0%
0%
0%
0%
0%
View this question
Логарифмічна амплітудно-частотна характеристика якої ланки показана на рисунку?\

0%
0%
0%
0%
0%
View this question
Логарифмічна амплітудно-частотна характеристика якої ланки показана на рисунку?

0%
0%
0%
0%
0%
View this question
Перетворення Лапласа від перехідної функції об’єкта має вигляд . Яка функція передачі елемента?
0%
0%
0%
0%
100%
View this question
Перехідна функція елемента має вигляд . Яка функція передачі елемента?
0%
0%
100%
0%
0%
View this question

Want instant access to all verified answers on vns.lpnu.ua?

Get Unlimited Answers To Exam Questions - Install Crowdly Extension Now!

Browser

Add to Chrome