logo

Crowdly

Browser

Add to Chrome

Теорія автоматичного керування [02561]

Looking for Теорія автоматичного керування [02561] test answers and solutions? Browse our comprehensive collection of verified answers for Теорія автоматичного керування [02561] at vns.lpnu.ua.

Get instant access to accurate answers and detailed explanations for your course questions. Our community-driven platform helps students succeed!

Статична похибка регулювання це - … (виберіть правильну відповідь)
View this question
За якою формулою визначають другу інтегральну оцінку? (x(t) – регульована величина)
View this question
Назвіть характеристику автоматичного регулятора, зображену на рисунку.

0%
0%
0%
0%
View this question
Який регулятор має перехідну характеристику, що показана на рисунку?

0%
0%
0%
View this question
Якому регулятору відповідає структурна схема, показана на рисунку?

0%
0%
0%
0%
View this question
Якому регулятору відповідає структурна схема, показана на рисунку?

View this question
Перехідна характеристика якого регулятора наведено на рисунку?? 

0%
0%
0%
0%
View this question
На рисунку наведено структурну схему:

View this question
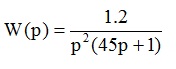
САР з П-регулятором і з функцією передачі об’єкта регулювання   є… (виберіть правильний варіант відповіді):
View this question

За діаграмою Боде стійкої розімкнутої лінійної системи автоматичного

регулювання (САР), показаною на рисунку, встановити

стійкість

замкнутої

САР.

View this question

Want instant access to all verified answers on vns.lpnu.ua?

Get Unlimited Answers To Exam Questions - Install Crowdly Extension Now!

Browser

Add to Chrome