logo

Crowdly

Browser

Add to Chrome

Теорія автоматичного керування [02561]

Looking for Теорія автоматичного керування [02561] test answers and solutions? Browse our comprehensive collection of verified answers for Теорія автоматичного керування [02561] at vns.lpnu.ua.

Get instant access to accurate answers and detailed explanations for your course questions. Our community-driven platform helps students succeed!

САР з I-регулятором  і з функцією передачі  об’єкта регулювання є … (виберіть правильний варіант відповіді):
View this question

Який годограф Михайлова відповідає стійкій динамічній системі? (n – порядок характеристичного рівняння)

0%
0%
0%
0%
View this question

Якою буде лінійна замкнута САР, якщо амплітудно-фазова характеристика стійкої розімкнутої САР має вигляд, показаний на рисунку?

0%
0%
0%
0%
View this question

Графік якого перехідного процесу регулювання зображено на рисунку?

View this question
Який розв’язок неоднорідного лінійного диференціального рівняння описує вільний рух динамічної системи?
View this question
Логарифмічна амплітудно-частотна характеристика якої ланки показана на рисунку?

View this question
Логарифмічна амплітудно-частотна характеристика якої ланки показана на рисунку?\

0%
0%
0%
0%
View this question
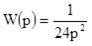
Знайдіть функцію передачі W(p) елемента, на вхід якого діє одиничний стрибкоподібний сигнал, а перетворення Лапласа від вихідного сигналу має вигляд

View this question
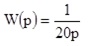
Перетворення Лапласа від перехідної функції елемента має вигляд . Яка функція передачі елемента?
0%
0%
0%
0%
View this question
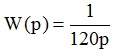
Перетворення Лапласа від перехідної функції об’єкта має вигляд . Яка функція передачі елемента ?
0%
0%
0%
0%
View this question

Want instant access to all verified answers on vns.lpnu.ua?

Get Unlimited Answers To Exam Questions - Install Crowdly Extension Now!

Browser

Add to Chrome