logo

Crowdly

Browser

Add to Chrome

Теорія автоматичного керування [02561]

Looking for Теорія автоматичного керування [02561] test answers and solutions? Browse our comprehensive collection of verified answers for Теорія автоматичного керування [02561] at vns.lpnu.ua.

Get instant access to accurate answers and detailed explanations for your course questions. Our community-driven platform helps students succeed!

Функція передачі  є моделлю … (виберіть правильну відповідь)
0%
0%
0%
0%
View this question

Вигляд кривої розгону якої типової ланки зображено на рисунку?

View this question
Імпульсна перехідна характеристика елемента описується рівнянням . Якою є функція передачі елемента?
View this question
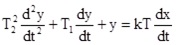
Виберіть функцію передачі, що відповідає диференціальному рівнянню  з нульовими початковими умовами:
0%
0%
0%
0%
View this question
Якій функції передачі елемента відповідає перехідна функція  ?
0%
0%
0%
View this question
Як називається характеристика елемента, що встановлює взаємозв’язок його вихідного сигналу з вхідним синусоїдальним сигналом в усталеному режимі і визначається з формули  ?
View this question
Вкажіть правильний запис амплітудно-фазової характеристики через дійсну U(ω) та уявну V(ω) частотні характеристики
View this question
Статична модель першого з двох послідовно з’єднаних елементів описується рівнянням Якою має бути модель другого елемента, щоб статична модель цілого з’єднання описувалась рівнянням ?
0%
0%
0%
0%
View this question
Статична модель першого з двох послідовно з’єднаних елементів описується рівнянням . Якою має бути модель другого елемента, щоб статична модель цілого з’єднання описувалась рівнянням ?
View this question
Знайти коефіцієнт передачі елемента, статична модель якого описується рівнянням .
View this question

Want instant access to all verified answers on vns.lpnu.ua?

Get Unlimited Answers To Exam Questions - Install Crowdly Extension Now!

Browser

Add to Chrome