logo

Crowdly

Browser

Add to Chrome

Теорія автоматичного керування [02561]

Looking for Теорія автоматичного керування [02561] test answers and solutions? Browse our comprehensive collection of verified answers for Теорія автоматичного керування [02561] at vns.lpnu.ua.

Get instant access to accurate answers and detailed explanations for your course questions. Our community-driven platform helps students succeed!

Перетворення Лапласа від перехідної функції об’єкта має вигляд . Яка функція передачі об’єкта ?
0%
0%
0%
0%
View this question
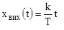
Перетворення Лапласа від вихідного сигналу елемента має вигляд   . Яким буде оригінал?
0%
0%
0%
View this question
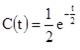
Функція передачі об’єкта має вигляд  . Яким рівнянням описується імпульсна перехідна функція C(t) об’єкта?
View this question
Перетворення Лапласа від перехідної функції об’єкта  має вигляд. Яка функція передачі елемента?
View this question

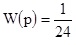
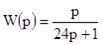
Функція передачі W(p) системи, структурна схема якої показана на рисунку, визначається за формулою:

0%
0%
50%
0%
View this question

Якою буде функція передачі W(p) САР, показаної на рисунку, при дії збурення z:

View this question

Якою буде функція передачі W(p) САР, показаної на рисунку, при дії заданого значення хзад:

View this question
Знайдіть правильний вираз для знаходження функції передачі з’єднання, показаного на рисунку (W – функція передачі елемента):

View this question
Знайдіть правильний вираз для знаходження фазо-частотної характеристики з’єднання, показаного на рисунку (φ – ФЧХ елемента):

0%
50%
0%
0%
View this question

При зміні витрати рідини з 6 т/год до 8 т/год рівень в ємності, показаній на рисунку, за 50 с змінився з 1, 0 м до 1,1 м . Визначіть сталу часу розгону ємності.

0%
0%
0%
0%
View this question

Want instant access to all verified answers on vns.lpnu.ua?

Get Unlimited Answers To Exam Questions - Install Crowdly Extension Now!

Browser

Add to Chrome