logo

Crowdly

Browser

Add to Chrome

Теорія автоматичного керування [02561]

Looking for Теорія автоматичного керування [02561] test answers and solutions? Browse our comprehensive collection of verified answers for Теорія автоматичного керування [02561] at vns.lpnu.ua.

Get instant access to accurate answers and detailed explanations for your course questions. Our community-driven platform helps students succeed!

При якому типі з’єднання ланок вихідна величина попередньої ланки є вхідною для наступної?
View this question

Як називається система автоматичного регулювання (в залежності від принципу регулювання), яка наведена на рисунку?

0%
0%
0%
0%
0%
View this question
Що таке автоматизація?
View this question

Як називається система автоматичного регулювання (в залежності від принципу регулювання), яка наведена на рисунку?

0%
0%
0%
0%
0%
View this question

Як називається система автоматичного регулювання (в залежності від принципу регулювання), схема якої наведена на рисунку?

0%
0%
0%
0%
0%
View this question
Як називається система автоматичного регулювання (САР) в якій задане значення регульованої величини є постійним?
View this question
За якою формулою визначається А(ω) системи з вихідним сигналом x(t), якщо на вхід системи діє випадковий процес хзад(t) ?

0%
0%
0%
0%
0%
View this question
За якою формулою визначається дисперсія похибки регулювання Δx(t) системи регулювання, якщо на вхід системи діє стаціонарний випадковий процес хзад(t), a z(t)=0 ? 

0%
0%
0%
0%
0%
View this question
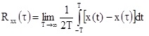
Яким рівнянням описується автокореляційна функція центрованого випадкового процесу x(t)?
0%
0%
0%
0%
0%
View this question
 Яким рівнянням описується зв’язок між автокореляційною функцією випадкового процесу та його спектральною густиною ?
0%
0%
0%
0%
0%
View this question

Want instant access to all verified answers on vns.lpnu.ua?

Get Unlimited Answers To Exam Questions - Install Crowdly Extension Now!

Browser

Add to Chrome