logo

Crowdly

Browser

Add to Chrome

Теорія автоматичного керування [02561]

Looking for Теорія автоматичного керування [02561] test answers and solutions? Browse our comprehensive collection of verified answers for Теорія автоматичного керування [02561] at vns.lpnu.ua.

Get instant access to accurate answers and detailed explanations for your course questions. Our community-driven platform helps students succeed!

Значення автокореляційної функції випадкового процесу x(t) в момент часу t=0 є:
View this question
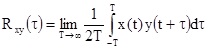
Яким рівнянням описується взаємокореляційна функція двох випадкових процесів на вході x(t) і виході y(t) динамічної системи?
0%
0%
0%
0%
0%
View this question
За якою формулою визначається дисперсія стаціонарного випадкового процесу x(t)? (M[x(t)] – математичне сподівання)
0%
0%
0%
0%
0%
View this question
Яким рівнянням описується зв’язок між взаємоспектральною густиною Sxy випадкових процесів на вході x(t) і виході y(t) системи та спектральною густиною Sx з її амплітудно-фазою характеристикою W(iω)?
0%
0%
0%
100%
0%
View this question
За якою формулою можна визначити дисперcію Dx випадкового процесу x(t)?
0%
50%
0%
0%
0%
View this question
Яка функція передачі компенсатора Wk(p) забезпечить інваріантність САР, схема якої показана на рисунку, якщо функція передачі OP за збуренням Wz(p)= 0.1/p, за регулюючою дією Wy(p)=1/(25p+1) і регулятора WAP(p)= 1+1/10p?

0%
0%
0%
0%
0%
View this question
Яка функція передачі компенсатора Wk(p) забезпечить інваріантність САР, схема якої показана на рисунку, якщо функція передачі OP за збуренням Wz(p)= 0.1/p, за регулюючою дією Wy(p)=1/(25p+1) і регулятора WAP(p)= 1+1/10p?

0%
0%
0%
0%
0%
View this question
Яка функція передачі компенсатора Wk(p) забезпечить інваріантність САР, схема якої показана на рисунку, якщо функція передачі OP за збуренням Wz(p)=1/(25p+1), за регулюючою дією Wy(p)=0.1/p і регулятора WAP(p)=2(1+1/10p)?

0%
0%
0%
0%
0%
View this question
Яка функція передачі компенсатора Wk(p) забезпечить інваріантність САР, схема якої показана на рисунку, якщо функціяпередачі OP за збуренням Wz(p)=0,1/p, за регулюючою дією Wy(p)= 4/(100p+1) і регулятора WAP(p)=2(1+1/25p)?

0%
0%
0%
0%
0%
View this question
Яка коректуюча ланка Wk(p) застосована в САР, що показана на рисунку?

0%
0%
0%
0%
0%
View this question

Want instant access to all verified answers on vns.lpnu.ua?

Get Unlimited Answers To Exam Questions - Install Crowdly Extension Now!

Browser

Add to Chrome