logo

Crowdly

Browser

Add to Chrome

Теорія автоматичного керування [02561]

Looking for Теорія автоматичного керування [02561] test answers and solutions? Browse our comprehensive collection of verified answers for Теорія автоматичного керування [02561] at vns.lpnu.ua.

Get instant access to accurate answers and detailed explanations for your course questions. Our community-driven platform helps students succeed!

Фунція передачі W(p) об’єкта, яка в середовищі Matlab записується у вигляді W1=tf([1],[10 1]); W=W1/(1+W1), складається (виберіть правильну відповідь)
0%
0%
0%
View this question
Яке значення коефіцієнта передачі об’єкта у записі W=tf([5],[4 2 1]) в середовищі Matlab?
View this question
Фунція передачі W(p) об’єкта, яка в середовищі Matlab записується у вигляді W1=tf([1],[10 1]); W=W1^2; складається (виберіть правильну відповідь)
0%
0%
100%
0%
0%
View this question
Як в середовищі Matlab записати модель у вигляді функції передачі ?
0%
0%
0%
0%
0%
View this question
Як математично описується закон регулювання ПІД-регулятора?
6%
6%
0%
0%
0%
View this question
Якому регулятору відповідає структурна схема, показана на рисунку?

0%
0%
100%
0%
0%
View this question
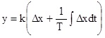
Яким рівнянням описується закон регулювання ПД-регулятора?
13%
0%
0%
0%
0%
View this question
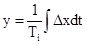
Яким рівнянням описується закон регулювання ПІ-регулятора?

0%
7%
0%
7%
0%
View this question
В якому регуляторі вихідний сигнал формується в залежності від швидкості зміни відхилення регульованої величини від заданого значення?
View this question
Назвіть характеристику автоматичного регулятора, зображену на рисунку.

0%
0%
0%
0%
100%
View this question

Want instant access to all verified answers on vns.lpnu.ua?

Get Unlimited Answers To Exam Questions - Install Crowdly Extension Now!

Browser

Add to Chrome