logo

Crowdly

Browser

Add to Chrome

Теорія автоматичного керування [02561]

Looking for Теорія автоматичного керування [02561] test answers and solutions? Browse our comprehensive collection of verified answers for Теорія автоматичного керування [02561] at vns.lpnu.ua.

Get instant access to accurate answers and detailed explanations for your course questions. Our community-driven platform helps students succeed!

Назвіть характеристику автоматичного регулятора, зображену на рисунку.

View this question
На рисунку наведено структурну схему:

View this question
Якому регулятору відповідає структурна схема, показана на рисунку?

View this question
Перехідна характеристика якого регулятора наведено на рисунку?? 

View this question
САР з П-регулятором і з функцією передачі об’єкта регулювання   є… (виберіть правильний варіант відповіді):
View this question
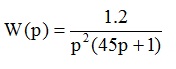
САР з коефіцієнтом передачі П-регулятора  і з функцією передачі  об’єкта регулювання є… (виберіть правильний варіант відповіді):
0%
0%
0%
0%
View this question

Якою буде лінійна замкнута САР, якщо характеристичне рівняння

розімкнутої САР має два додатних кореня і амплітудно-фазова

характеристика розімкнутої САР має вигляд, показаний на рисунку?

View this question
Перехідна функція системи з функцією передачі   є … (виберіть правильний варіант відповіді):
View this question
САР з I-регулятором  і з функцією передачі об’єкта регулювання   є … (виберіть правильний варіант відповіді):
0%
0%
0%
0%
View this question
Динамічна система з характеристичним рівнянням  є:
View this question

Want instant access to all verified answers on vns.lpnu.ua?

Get Unlimited Answers To Exam Questions - Install Crowdly Extension Now!

Browser

Add to Chrome