logo

Crowdly

Browser

Add to Chrome

Теорія автоматичного керування [02561]

Looking for Теорія автоматичного керування [02561] test answers and solutions? Browse our comprehensive collection of verified answers for Теорія автоматичного керування [02561] at vns.lpnu.ua.

Get instant access to accurate answers and detailed explanations for your course questions. Our community-driven platform helps students succeed!

Якій САР відповідає перехідний процес регулювання, зображений на рисунку?

View this question
Логарифмічна амплітудно-частотна характеристика якої ланки показана на рисунку?

View this question
Логарифмічна амплітудно-частотна характеристика якої ланки показана на рисунку?\

View this question
Логарифмічна амплітудно-частотна характеристика якої ланки показана на рисунку?

View this question
Яким чином при послідовному з’єднанні двох ланок, отримують їх результуючу логарифмічну фазо-частотну характеристику?
View this question
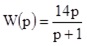
Знайдіть функцію передачі W(p) елемента, на вхід якого діє одиничний стрибкоподібний сигнал, а перетворення Лапласа від вихідного сигналу має вигляд

View this question
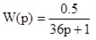
Перехідна функція елемента має вигляд . Яка функція передачі елемента?
View this question
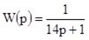
Перетворення Лапласа від перехідної функції об’єкта має вигляд . Яка функція передачі елемента?
View this question
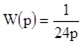
Перетворення Лапласа від перехідної функції об’єкта має вигляд . Яка функція передачі елемента ?
View this question
Який зв’язок існує між перетворенням Лапласа від перехідної функції F(p) та перетворенням Лапласа від імпульсної перехідної функції С(p) лінійного елемента? (p – позначення оператора Лапласа)?
View this question

Want instant access to all verified answers on vns.lpnu.ua?

Get Unlimited Answers To Exam Questions - Install Crowdly Extension Now!

Browser

Add to Chrome