logo

Crowdly

Browser

Add to Chrome

Теорія автоматичного керування [02561]

Looking for Теорія автоматичного керування [02561] test answers and solutions? Browse our comprehensive collection of verified answers for Теорія автоматичного керування [02561] at vns.lpnu.ua.

Get instant access to accurate answers and detailed explanations for your course questions. Our community-driven platform helps students succeed!

На скільки збільшиться логарифмічна амплітудно-частотна характеристика ідеальної диференціальної ланки, якщо частоту збільшити у 5 разів?
View this question
Логарифмічна амплітудно-частотна характеристика якої ланки показана на рисунку?\

View this question
Логарифмічна амплітудно-частотна характеристика якої ланки показана на рисунку?

View this question

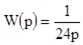
Перехідна функція елемента має вигляд  . Яка функція передачі елемента?
View this question
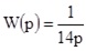
Перетворення Лапласа від перехідної функції об’єкта має вигляд . Яка функція передачі об’єкта ?
View this question
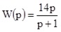
Перетворення Лапласа від перехідної функції об’єкта має вигляд . Яка функція передачі елемента ?
View this question
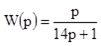
Перетворення Лапласа від перехідної функції об’єкта має вигляд . Яка функція передачі елемента?
View this question
Знайдіть функцію передачі W(p) елемента, на вхід якого діє одиничний стрибкоподібний сигнал, а перетворення Лапласа від вихідного сигналу має вигляд

View this question
Перетворення Лапласа від вихідного сигналу елемента має вигляд   . Яким буде оригінал?
0%
0%
0%
View this question
Який зв’язок існує між функцією передачі W(p) та імпульсною перехідною функцією C(t) лінійного елемента? (L – позначення прямого перетворення Лапласа, L-1 – зворотного)?
0%
0%
0%
0%
View this question

Want instant access to all verified answers on vns.lpnu.ua?

Get Unlimited Answers To Exam Questions - Install Crowdly Extension Now!

Browser

Add to Chrome