logo

Crowdly

Browser

Add to Chrome

Теорія автоматичного керування [02561]

Looking for Теорія автоматичного керування [02561] test answers and solutions? Browse our comprehensive collection of verified answers for Теорія автоматичного керування [02561] at vns.lpnu.ua.

Get instant access to accurate answers and detailed explanations for your course questions. Our community-driven platform helps students succeed!

Перетворення Лапласа від перехідної функції об’єкта  має вигляд. Яка функція передачі елемента?
View this question
Який зв’язок існує між функцією передачі W(p) та перехідною функцією F(t) лінійного елемента? (L – позначення прямого перетворення Лапласа, L-1 – зворотного)?
View this question
Як зміниться значення сталої часу аперіодичної ланки першого порядку, якщо її охопити від’ємним гнучким зворотним зв’язком по швидкості зміни вихідної величини?
View this question

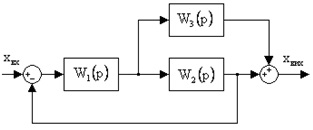
Функція передачі W(p) системи, структурна схема якої показана на рисунку, визначається за формулою:

View this question

Функція передачі W(p) системи, структурна схема якої показана на рисунку, визначається за формулою:

View this question
Фазо-частотна характеристика φ(ω) паралельного з’єднання двох ланок з функціями передачі W1(p)=1/(Tp) і W2(p)=1/(Tp+1) при зміні частоти ω від 0 до +∞ змінюється в межах:
View this question
Знайдіть правильний вираз для знаходження функції передачі з’єднання, показаного на рисунку (W – функція передачі елемента):

View this question
Знайдіть правильний вираз для знаходження фазо-частотної характеристики з’єднання, показаного на рисунку (φ – ФЧХ елемента):

View this question
Знайдіть правильний вираз для знаходження амплітудно-частотної характеристики з’єднання, показаного на рисунку (A – АЧХ елемента):

View this question
Визначіть сталу часу аперіодичної ланки першого порядку, якщо тангенс кута нахилу дотичної до перехідної функції в нульовий момент часу дорівнює 0,25, а коефіцієнт передачі дорівнює 2.
View this question

Want instant access to all verified answers on vns.lpnu.ua?

Get Unlimited Answers To Exam Questions - Install Crowdly Extension Now!

Browser

Add to Chrome